|
点上面“渔业信息”,关注了解更多渔业政策资讯
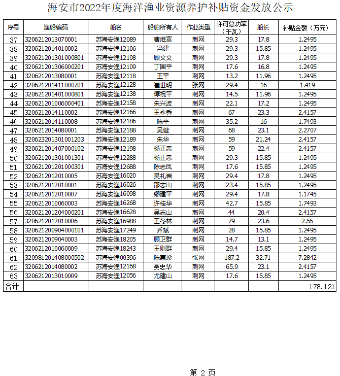
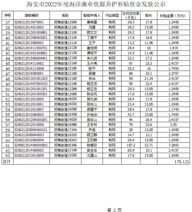
& a% ?7 A5 q1 O5 N) [6 P+ F  根据《关于做好海洋渔业资源养护补贴资金发放工作的通知》(苏农渔[2024]3号)的文件要求,现将海安市2022年度海洋渔业资源养护补贴资金发放信息予以公示。公示时间:2024年3月1日起至2024年3月4日止,共4天。请广大群众监督。在公示期内,个人和单位均可通过来信、来电或来访等形式向渔业主管部门反映情况。以个人名义反映情况的提倡签署或自报本人真实姓名,以单位名义反映情况的应加盖本单位公章。联系电话:海安市农业农村局051381812655海安市农业农村局监察室051388898516海安市2022年度海洋渔业资源养护补贴资金发放公示.xlsx海安市农业农村局2024年3月1日
/ r; r- Y. Y; M& t  $ {, z' Y: H5 A% k9 R' b' _' S
来源:海安市农业农村局
- `7 F" P( P& A3 |' B7 z/ T7 g
# j4 x/ _ n& _) R6 o. l5 u+ l: [( ~& |& j0 C9 `
3 a: x& X) I9 [ D R7 ^, z5 | q# a. d+ U6 b! J; d( x
|