收藏本站 劰载中...网站公告 | 吾爱海洋论坛交流QQ群:835383472

多普勒技术ADCP测流原理研究

[复制链接]
摘 要:自从提出多普勒技术测量海流原理后,海洋科技工作者一直把它作为高新技术进行研究。声学多普勒海流剖面仪(ADCP)的问世被认为是海洋测流技术的重大突破,文章介绍了 ADCP窄带测流和宽带测流的原理与方法,简要阐述了窄带与宽带ADCP各自的优缺点,同时介绍了多普勒效应和多普勒时间膨胀的概念。

. a' G% }" G/ o! h/ J% w, s$ M" p
; C0 x6 F# \) }, `- I
ADCP测流原理研究

5 x2 K$ W  f6 y3 @. m
引言
在海洋-声学-处理三位一体的关系中,海洋环境与声传播的耦合属于上游。因此,海洋环境特性一直是水声研究领域的重要方向,其流场分布也一直是海洋科技工作者所关注的焦点之一。随着科技的发展,对海流测量的要求也逐步提高,如何快速、准确、实时、大范围测量海流是海流测量技术发展的主要方向。自从提出采用多普勒技术测量海流的原理后,海洋科学工作者一直把它作为高新技术进行研究。声学多普 勒 流 速 剖 面 仪 (ADCP:Acoustic Doppler CurrentProfiler)的问世被认为是海洋测流技术的重大突破,并且国际海委会已经把ADCP列为四种先进的海洋观测仪器之一。以信号检测技术为特征,ADCP 的研究和发展经历了如下三个阶段[1]:⑴ 以锁相式频率跟踪器为特征,代表产品如日本古野公司的CI-30型;⑵ 以复相关技术作为计算信号多普勒频移的手段,代表产品如美国 RD 仪器公司的窄带声学多普勒流速剖面仪(NBADCP);⑶ 以宽带脉冲对相干技术为特征,代表产品如RD仪器公司的宽带声学多普勒流速剖面仪(BBADCP)。以换能器阵形式为特征,ADCP 的研究和发展主要有如下两种类型:一种类型是换能器阵由三个或四个相同的换能器按一定的结构形式(如 JANUS)构成,多见于 90 年代以前的ADCP产品;另一种类型是换能器阵是相控换能器阵,研制其目的是在不增大换能器阵的体积和重量的基础上把发射频率降下来,从而扩大测量范围。8 t7 [3 f) |. P, F5 ?  t3 W! W7 o
本文仅介绍NBADCP和BBADCP的测流原理。
: X$ b0 V" M9 v6 R' o! |9 v
NBADCP测流原理
1.1 窄带信号的多普勒频率变化
当两列火车迎面驶过时,火车的鸣叫声由高亢变低沉,也就是说,火车迎面驶来时,频率变高;火车背向驶离时,频率变低。
0884bc61f445b01e88e7deb6af77e0f9.png
图1 经典实例
这种因波源或观察者相对于传播介质的运动而使观察者接收到的波的频率发生变化的现象称为“多普勒效应”。
( t: o; |& i  h1 Y+ \, O4 ^' D6 _
1.2 利用多普勒效应的NBADCP测流原理
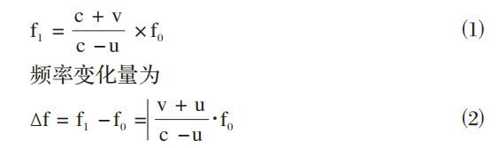
假定波源发射的波的频率为单频信号,为简单起见,只讨论运动发生在波源与观测者的连线上的多普勒效应。设波源相对于介质的运动速度为 u,以趋近于观测者为正,反之为负;观测者相对于介质的运动速度为 v,以趋近于波源为正,反之为负。以 f0 表示波源的发射频率,f1 表示观测者接收到的频率,c 表示波在介质中的传播速度,则:
19849846108eeb3e1575bf6da531f4b8.png
所以,如果∆f的测量值已得到,则可以通过测量u 和v中的任一个,再利用⑵式求得另外一个量。
窄带 ADCP 就是运用上述原理来测量海流速度的。它向海水介质中发射一个固定频率的定向声脉冲信号,并接收从海水中的无处不在的散射体反射回来的回波信号。这些散射体在海水中随着海水的流动而流动,所以利用反射回来的信号计算得到的散射体的速度就是海流速度。若运动不是在波源与观测者的连线上,则须将 u和 v在连线上投影,当然求得的速度值也是在该连线上的投影分量。
当u ≪ c 时,⑵式变为:
cda9a9a9ba16adbda8c334f51efb8f39.png
38f1a2f357f624701e4dcde658d42b4c.png
假设:声波发射方向和接收方向与海流方向的夹角均为θ,如图2所示。
b29def0a77b5e01d9687d89f932a51b4.png
图2 声波发射通与接收方向与海流方向示意图
7a0174164eafc4c6c231e1d3afdb4dda.png
一般情况下,海流速度在一定范围内可以认为是不变化的,所以,可将海流速度定义为东西方向、南北方向和垂线方向的三维速度矢量。为测量这三个方向上的速度矢量,ADCP 通常同时向海水中的东、西、 南、北四个方向上同时发射与垂线成夹角为 φ 的四个脉冲信号,如图3所示,该波束结构称为JANUS结构[2]:
d599333204dfe879072ba0afc30daaaa.png
图3 ADCP发射声波的JANUS结构
其工作示意图如图4所示。
730229a95f12ef2f5514ae7823181070.png
图4 具有JANUS结构的ADCP工作示意图
设ADCP的发射声波频率为f0,f1、f2、f3 和f4 分别为南、北、东和西四个方向上波束的回波频率,v 为船的南、北方向水平航行速度分量(本质上是船相对于海面的速度分量),则利用f1 和f0 可列出如下等式:
58986ce2d4987cc9117733f7b8574539.png
将式⑹和式⑺合并,可以得到南、北方向上的海流速度分量为:
ff80efd7ac0bc80bffb27579b8c2487f.png
注意:以上求得的各个方向上的海流速度分量实际上是某一深度单元或者说是某一分层的速度分量。上述讨论的是 NBADCP 的多普勒测流原理。但是由于其测流范围小,单次测量误差较大,因而 NBADCP的应用越来越少,取而代之的是 BBADCP,下一节将讨论其测流原理。
# ?' y& e* J" N% c; [* m3 O
BBADCP测流原理
2.1 宽带信号的多普勒时间膨胀
为简单起见,仍然以单频脉冲信号为例来说明多普勒时间膨胀概念。设单频脉冲信号的频率为 f0,脉宽为 t0,则该脉冲信号所含有的振荡周期数为 n0 = f0 ×t0,当波源和观察者相对于介质的运动速度u = 0、 v = 0,则观察者观察到的脉冲信号频率仍然为 f0,脉宽仍然为 t0,如图 5所示;当波源或观测者相对于传播介质的速度u 和v至少有一个不为0时,则观测者观测到的脉冲信号频率为:
7a515cb779b01e3e981df840574eeb52.png
由⑿式可以看出,观测者观测到的脉冲信号的脉冲宽度与u、v、c和t0有关,而与f0无关。这一结论同样适用于宽带脉冲信号。这种因波源或观测者相对于传播介质的运动而使得观测者接收到的脉冲信号的宽度发生变化的现象称为“多普勒时间膨胀”[3]。如图5所示:
ba921cbc16bc23e81df2f9ee659b7f87.png
图5 多普勒时间膨胀示意图2.2 利用多普勒时间膨胀的BBADCP测流原理
BBADCP采用图3的结构向四个方向同时发射一对宽带脉冲信号,设该脉冲信号的时间间隔为t0,t1、t2、 t3、t4 分别为南、北、东、西四个方向上的回波脉冲对的时间间隔。按照上述计算方法,可以得到海流速度在南、北方向上的速度分量为[4]:
afe47ce75c709ef38bc08ad77b3a5fb2.png
由上述可知,宽带信号海流测量的关键在于如何精确测量回波信号的多普勒时间膨胀,涉及信号的形式和处理等。从数学角度来看,宽带信号的时间膨胀和窄带信号的频率变化本质上是一致的。$ v0 k' b. }+ U, Q% E& d
结束语
本文主要介绍了 NBADCP 和 BBADCP 的测流原理。目前,工业界对 ADCP 的发展方向是趋于小型化且采用相控阵的宽带 ADCP 技术[5]。目前,根据上述测流原理,国内科研院所已完成宽带相控阵 ADCP(BBPAADCP)相关产品研制与海上试验,测流精度可达到 ±1% + 1cm/s 范围之内。相对于窄带方法,宽带多普勒海流计可以获得更高的单次测量精度,具有更强的抗干扰性。该测流原理为国产宽带相控阵ADCP提供了理论依据与重要参考,并成功应用于高精度海流计的信号处理算法软件,为后续产品研制开发提供一定理论参考价值。
4 n& ^2 o: J& V/ h) N4 L; F

! l2 g, u% ~% Y$ Z8 c% _
回复

举报 使用道具

相关帖子

全部回帖
暂无回帖,快来参与回复吧
懒得打字?点击右侧快捷回复 【吾爱海洋论坛发文有奖】
您需要登录后才可以回帖 登录 | 立即注册
白小禾
活跃在2024-1-28
快速回复 返回顶部 返回列表