; c6 c" ~# t9 M4 p 1、什么是残余应力?
' q# e9 \$ O6 e2 R2 P' M* j {! I! V8 u 残余应力 (Residual Stress) 是工件在制造过程中,将受到来自各种工艺等因素的作用与影响;当这些因素消失之后,若构件所受到的上述作用与影响不能随之而完全消失,仍有部分作用与影响残留在构件内,则这种残留的作用与影响就是残余应力。
( r" p; P$ e: w9 O 有点晕?那换个通俗的方式跟大家讲。比如说一个人之前很瘦,买了一条L号的牛仔裤,然而过了个年吃成了大胖子,这时候再穿这条牛仔裤,由于人长胖了而裤子没变,因此他就会觉得裤子太紧了,这时候身体与裤子之间就有了很强的作用力,如果用力过猛很容易把裤子撕破,这种破坏力就是残余应力的作用效果。
/ W" o! s4 y9 e7 [3 }" a9 e 从能量作功的角度来理解,外力使物体发生塑性变形时会导致物体内部发生变形,因而积累一部分能量;当外力消除后,内部应力分布不均匀的能量要进行释放,如果物体的脆性低,则物体会缓慢变形,脆性高则形成裂纹。
7 h7 l! p+ r% `" e
# V( e9 I% m. A
# _9 l9 M) f0 m5 J8 y V/ ?
打开凤凰新闻,查看更多高清图片
# A* }# h% P' D1 `9 y/ O. T) I9 y
1 B" H" s2 l7 g( q, O$ y % K& R$ D1 c6 M! B5 B1 [! G* A# J
图1 残余应力作用效果
* F S# l* w& G& D
2、X射线衍射法测量残余应力的发展
/ W! K$ F6 M; m2 B3 @ X射线衍射法作为一种无损定量化比较准确的残余应力测定方法,广泛的应用在零件加工、设备制造安装等质量控制环节以及失效分析和安全评估等方面,对提高产品质量、防止产品早期失效等起到了非常重要的作用。
# M9 [8 U; O; ]1 g2 S( T/ l
X射线法是由俄国学者于1929年提出。20世纪初,人们就已经开始利用X射线来测定晶体的应力。后来日本成功设计出的X射线应力测定仪,对于残余应力测试技术的发展做出来巨大贡献。
1 M" ~ S2 E+ C
1961年,德国的E.Mchearauch提出了X射线应力测定的sin2ψ法,使应力测定的实际应用向前推进了一大步。
& h' v( g5 d/ P& j2 j' |$ E4 | 然而遗憾的是,随着残余应力测试设备制造技术的快速发展,行业缺乏相关标准,缺少足够的设备检定技术依据,导致测试方法无所适从,各实验室很难进行测试数据的比对和能力验证,很难具有公信力。
/ l2 y' ]- @& r j9 E) f 1971年,美国汽车工程师学会发布第一个行业标准SAE J784a "Residential Stress Measurement by X-ray Diffraction";
' P' V2 l% e$ ~' y9 Y 随后1973年,日本材料学会颁布第一个国家标准JSMS-SD-10-73" Standard Method for X-ray Stress Measurement"。
' q5 N" d. Z( \9 J- a: S: B) H% p
为反映最新的技术进步和成熟的测试方法,欧盟标准委员会(CEN)于2008年7月4日批准了新的X射线衍射残余应力测试标准 EN 15305-2008 "Non-destructive Testing- Test Method for Residual Stress analysis by X-ray Difraction",该标准于2009年2月底在所有欧盟成员国正式施行。
# P2 l( M: ], j l6 Y9 G 该标准对X射线残余应力测试的技术和方法等诸多方面进行了更新,解决了上述的行业问题,全面、细致系统阐述了X射线衍射法残余应力分析的原理、测定方法、材料特性、仪器选择和常见问题处理等方面的内容。新标准也因此获得了业界的一致认可。
- } h& `1 u+ b& v 与之相呼应,美国试验材料学会(ASTM)也于2010年7月发布了最新的美国标准版本 ASTM E91510 "Standard Test Method for Verifying the Alignment of X-ray Diffraction Instrumentation for Residual Stress Measurement"。
3 s! w, K: s* v& P8 o! D 之后,欧美国家围绕X射线衍射法,颁布了一系列检测标准,为行业发展树立了标杆,X射线行射法测定残余应力得到了越来越广泛的应用,技术手段也日益成熟。
( ]0 v1 p' ^- w1 ^' u5 y, \7 }
3、X射线衍射法测量残余应力的基本原理
) d, Z7 k; E! `+ E7 l6 w+ H$ U# H
X射线衍射测量残余内应力的基本原理是以测量衍射线位移作为原始数据,所测得的结果实际上是残余应变,而残余应力是通过胡克定律由残余应变计算得到的。
3 N7 `; M' P& K7 B) o w6 A, E1 X
其基本原理是:当试样中存在残余应力时,晶面间距将发生变化,发生布拉格衍射时,产生的衍射峰也将随之移动,而且移动距离的大小与应力大小相关。用波长λ的X射线,先后数次以不同的入射角照射到试样上,测出相应的衍射角2θ,求出2θ对sin2ψ的斜率M,便可算出应力σψ。
. v- D/ u; [, J, c/ P+ d2 h# X X射线衍射方法主要是测试沿试样表面某一方向上的内应力σφ。为此需利用弹性力学理论求出σφ的表达式。由于X射线对试样的穿入能力有限,只能探测试样的表层应力,这种表层应力分布可视为二维应力状态,其垂直试样的主应力σ3 ≈0(该方向的主应变ε3≠0)。
) l7 h# c# R, D. K7 T! U 由此,可求得与试样表面法向成Ψ角的应变εΨ的表达式为:
. ^& k' x5 l+ ~# Z2 h 
9 W7 P. X" N: h' q# N" X
εψ的量值可以用衍射晶面间距的相对变化来表示,且与衍射峰位移联系起来,即:
5 J1 F, E9 W7 x3 M7 I7 h. i1 i

8 P c4 y$ s; w 式中θ0为无应力试样衍射峰的布拉格角,θψ为有应力试样衍射峰位的布拉格角。
# V: n7 {: a/ K- g6 U 于是将上式代入并求偏导,可得:
% ?" C. N/ B1 V

! Y* o5 R. P; z0 b* Z: V/ A# N
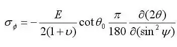
其中K是只与材料本质、选定衍射面HKL有关的常数,当测量的样品是同一种材料,而且选定的衍射面指数相同时,K为定值,称为应力系数。M是(2θ)-sin2ψ直线的斜率,对同一衍射面HKL,选择一组ψ值(0°、15°、30°、45°),测量相应的(2θ)ψ以(2θ)-sin2ψ作图,并以最小二乘法求得斜率M,就可计算出应力 (φ是试样平面内选定主应力方向后,测得的应力与主应力方向的夹角)。由于K<0,所以,M<0时,为拉应力,M>0时为压应力,而M=0时无应力存在。
5 J( X6 o+ U0 b4 i. Z/ l
4、样品与衍射面之间的关系
) ?% o" n7 E* g7 X/ L
(1)衍射仪测量测量残余应力的实验方法
$ z- p% o4 ^: Q/ v5 B
在使用衍射仪测量应力时,试样与探测器θ-2θ关系联动,属于固定ψ法。通常ψ=0°、15°、30°、45°测量数次。
- K' R1 i- I6 R* y: e 当ψ=0时,与常规使用衍射仪的方法一样,将探测器(记数管)放在理论算出的衍射角2θ处,此时入射线及衍射线相对于样品表面法线呈对称放射配置。然后使试样与探测器按θ-2θ联动。在2θ处附近扫描得出指定的HKL衍射线的图谱。当ψ≠0时,将衍射仪测角台的θ-2θ联动分开。先使样品顺时针转过一个规定的ψ角后,而探测器仍处于0。然后联上θ-2θ联动装置在2θ处附近进行扫描,得出同一条HKL衍射线的图谱。
: N2 D4 L2 }0 q1 g3 J5 g3 f: D
最后,作2θ-sin2ψ的关系直线,最后按应力表达σ=K·Δ2θ/Δsin2ψ= K·M求出应力值。
0 M' U4 e9 z) P) F! ?7 P2 W (2)残余内应力测试的数据处理
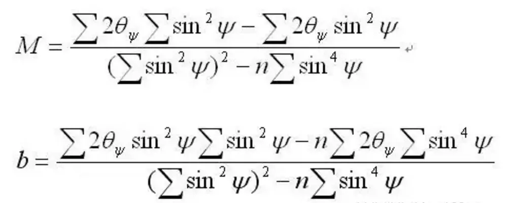
9 T0 r* d& \8 _/ H# _& i- V, I8 ^" w 由布拉格方程可知,θ角越大则起测量误差引起△d/d的误差越小,所以测量时应选择θ角尽量大于衍射面。取n个不同的ψ角度进行测定2θi(i=1,2,3,…,n),一般可取n≥4, 采用数据处理程序对2θΨ的原始测量数据进行扣除背底、数值平滑、确定峰位等处理后给出2θΨ值然后采用最小二乘法将各数据点回归成直线:设直线方程为:其中:
. n8 B# b3 ?; B7 h+ T: o x

5 o0 `' i- L9 v$ I 式中n为测量数据的数目。由上式可求得直线斜率M。
$ z/ y* l' }0 n4 Z
查出弹性模量E和泊松比υ,可计算出K,然后由σ=K·M求出应力。
* f/ q- p% r# e1 A& t1 l+ \
(3)衍射峰位的确定
% b Y0 g4 s; F
在宏观应力测量中,准确地测定衍射峰的位置是极其重要的。常用的定峰方法很多,如半高宽法、1/8高度法、峰顶法、切线法等,三点抛物线拟合定峰法等。
5 w& L. X2 _" N, i: j$ M& | 最常用的是三点抛物线法,这是一种较为精确而不过于繁杂的定峰位法。即:在衍射峰顶附近取以等角度间隔Δ2θ分开的三个数据点,求得其抛物线顶点。
3 F+ [1 R% ]1 r2 m0 x
利用MDI Jade,确定峰位的方法很多。寻峰是最简单的峰位确定方法,寻峰报告中显示了衍射峰的峰位、强度等相关的数据;计算峰面积命令也不失为一种好的方法,峰位精确性应在寻峰方法之上;第三种方法就是对峰进行拟合,通常采用抛物线拟合方法,拟合时不需要扣除背景和Kα2,Jade会自动扣除其影响,但需要适当平滑。另外,JADE6.5中有应力计算功能,但发现JADE5无此功能,但可以进行峰的拟合。
( H! E, u6 e, x
其它软件也可以完成峰的拟合,计算出峰的位置。
& O1 ?- ?% U& y0 Z 5、用X射线法测定应力中存在的问题
2 w2 r6 U& ~: h# N' i* q2 _
在平面应力的假定下,由2θ-sin2ψ直线的斜率来求测宏观应力,是常规的应力测定方法。但在测量中往往发现其2θ-sin2ψ关系偏离线性,呈曲线、分裂或波动现象,这表明在材料中存在应力梯度、垂直表面的切应力或织构。“ψ分裂”是指在ψ和-ψ方向测定得到不同的2θ(ε)值,使2θ-sin2ψ曲线分成两支。我们知道,这是垂直于表面的切应力σ13、σ23≠0的结果。对此问题的粗略处理是取±ψ测量值的平均,计算平均的应力值。在应力的X射线测定中,还可能存在2θ-sin2ψ关系的“振荡”现象,表明材料中存在明显的织构。在实验过程中可选用高衍射角,低对称性的高指数衍射面衍射线,这样的衍射线较少受织构的影响。
8 ]" D0 r1 z& k+ W( i; f
6、残余应力测量实验方法的发展
/ B c0 A) ~* N% f( A
X射线的穿透深度较小,只能测量材料表面的残余应力,如果需要测量材料内部的残余应力,或者测量应力梯度,其能力则显得有些苍白。通常解决的办法是需要采用剥层法。即对样品逐层剥离,测量每层表面的应力,然后采用一定的算法扣除因为剥层造成的应力松弛,换算成各层真实的应力。
k( w1 N. I" O) A; Q, s 近年来,有人采用中子衍射法和同步辐射X射线透过法来测量材料深度的残余应力。
; {4 X! P$ u2 ~ 中子衍射法是一种测量结构内部应力的常用方法。中子衍射法以中子流为入射束,照射试样,当晶面符合布拉格条件时,产生衍射,得到衍射峰。该方法的原理与普通X射线衍射方法类似,也是根据衍射峰位置的变化,求出应力。但与普通X射线衍射法相比,中子衍射法利用中子能穿透试样较大深度的特性,可以测得样品内部残余应力,且适于对大块试样进行测定。因此,中子衍射法对测定样品内部平均残余应力具有很大的优越性。
& c }/ h. @* T/ N' q2 e: u% g
因为同步辐射X射线的强度高可以透过样品,国外已有学者采用透过法测量金刚石与硬质合金复合层的内部残余应力。
$ i' A: p% u- T8 K, ^
7、残余应力计算软件的使用
7 F6 v: j$ ]- T/ H. m" A( k (1)数据测量
( L$ ^: I/ e L, \8 i+ L
先对样品作一个70-140°范围内的扫描,观察样品的衍射峰情况,选择一个强度较高,不漫散,衍射面指数较高的衍射峰作为研究对象峰。按照残余应力测量的要求,设置不同的ψ(0°,15°,30°,45°)角,以慢速扫描方式测量不同ψ角下的单峰衍射谱。每个ψ角的测量数据保存为一个文件,如00,10,20,30,40等。
5 P3 A+ n# K: Y/ X& Z3 k& _
值得注意的是,通常高角度衍射峰都是很漫散的,对精确地确定峰位有困难,但是,如果所选衍射峰的角度太低,在ψ=45°时,可能不出现衍射峰或者峰强极低而漫散,同样带来计算误差。这时只能选择ψ较小的数据,如ψ=0°,10°,20°,30°,40°)并且尽量地多选择几个ψ角来测量,使实验数据更加密集,减小实验误差,还有就是选择ψ角时,尽量使sin2ψ取点均匀而不是选择ψ的取值均匀,因为ψ-sin2ψ不呈线性关系。
, g: s- E, s1 x* y, h
(2)确定峰位
$ a1 i# t B% l, @4 O* p 本软件可以接受多种方式计算出来的拟射峰位数据。如键盘输入,读拟合文件等。
s' n8 P" {3 b! u
(3)输入峰位
8 V# ~$ h- _: j v# G 打开软件,输入峰位数据。
. t8 s* U) e- C: f1 B7 F+ p% P (4)计算sin2ψ
2 y* Q+ ~1 _8 ?5 Z' G" E9 h
根据测量使用的ψ角,重新计算窗口中的sin2ψ
6 F; K0 n' `# a% U9 a
(5)绘图-计算M、标注
7 w. ~' z) F' N: p7 t( d3 ~0 {
按窗口中的按钮排列顺序,先绘图,然后计算直线斜率M,如果需要,也可以标注数据。
; k" A* ^; O5 ?
(6)计算应力
, p) ?: S) s1 i0 T0 b
先要根据材料不同,查阅文献,获得所测物相的弹性模量和泊松比并输入到窗口中相应的文本框中。
8 P" M) ?, l: x; u0 X7 G1 r 按下计算应力,应力常数K值、应力值就显示在窗口中的文本框中。
2 h' {, X, Y6 {/ O( d2 `

! `. k, a1 v9 e4 ]9 |; M9 R
(7)保存
7 J; a, A! C9 x2 `1 [
“保存结果”--保存结果为文本文件。
A/ ^+ n) q# _* }% d& i “保存图象”--保存结果为图片文件。
1 Q/ X/ e, Z( l, A" Q+ W9 Q: F 了解更多残余应力干货,搜索并关注公众号“应力与变形控制”,每周更新。
" G) c8 n* i+ {1 F; `) A& }