( W3 o2 k& ^. |# C9 o- R
点/击/蓝/字/关/注/我/们
$ e% G2 n, N2 r2 r+ u# A# e 海洋生物污损( marine fouling)
8 j1 m) `: k& H' p( d# z6 s# _ 是指海洋中的动物、植物或微生物在海洋结构物表面附着、定殖、生长、腐蚀的过程,该过程会造成船舶、海洋监测仪器、海底管道、海上及滨海构筑物的腐蚀。 `0 E' C1 e, m# _9 l5 t0 L" e H, G
海洋生物污损主要由微生物腐蚀和生物附着造成,污损不仅会增加船体的质量和表面粗糙度,增加摩擦力带来额外的燃料消耗;还会减小跨海大桥、海底管道及海上构筑物的强度,甚至降低海洋监测设备的精度,导致海洋监测数据的失真。 ! w( O; i* l: ^5 L
此外,由于船舶具有远距离运输的特点,附着微生物会随着船只的航行迁移至其他地方,对当地生态平衡构成冲击,引发外来物种入侵的风险。
4 Y. T7 ?5 s# I$ m9 a 研究表明,每年由于海洋污损造成的直接经济损失高达4400 亿美元,因此海洋污损事件是政府、公众和学界共同关心的议题。 . w4 a6 y1 ~) o, Q; ?$ y& y; [* r
图“瓦良格”号污损清理前后图 . ]7 t3 \9 ~2 h' F# M* E
近年来,人们从微观和宏观两个角度对污损问题进行了大量研究。
$ m4 ~, ?+ p+ E" T 从微观角度看 ) L7 m0 M8 C8 ]! D6 w/ v0 ^9 \, L
一部分微生物在材料表面附着的过程中会产生胞外分泌物(EPS)与微生物一起形成微生物膜(biofilm)。膜内的pH值、溶解氧、氧化还原电位、温度、盐度等理化条件与周围环境有很大的差别,为微生物的生长繁殖提供了良好的环境[11],吸引海洋藻类、孢子、幼虫等积聚在条件膜表面进一步生长、发育与富集,并促进大型海洋生物藤壶、贻贝等定殖于结构物上,从而形成牢固的堆积状结构。
1 W# o# J+ g& j* I3 }5 U M 从宏观角度看
" _) z1 w8 [, `) K v 海洋中广泛存在的壳类(藤壶、贻贝、苔藓虫类)、软体类(细菌、藻类、被囊类)污损生物,在船舶下水后很短时间内就凭借各种各样的方法向船体表面附着。藤壶类通常是先分泌出一种疏水蛋白质,通过半胱氨酸键附着到船体表面;贻贝类往往是通过触角分泌足丝粘附在船体表面,这些足丝大部分是胶原蛋白构成,同时还具备一些亲水的多酚类粘附蛋白;硅藻会通过分泌中性或酸性的多糖黏液实现附着。
$ b6 a* G6 L) @7 T* S 图部分污损生物尺寸分布及主要附着机制
* g- @0 b& p f 美国伍兹霍尔海洋研究所根据盐度、透明度、温度和微量营养素上不同,将世界海洋划分为十二个区域,不同区域的污损生物的分布都有很大的差异,所以单一的疏水/亲水基防污涂层无法实现全面防护。 ; ~/ ?8 G% V7 h. X. |' o8 w

) G( U# E( P& o8 Y 世界海洋中的12个污损区域(伍兹霍尔)。 0 M, t( U. n+ i
1=北冰洋;2=北太平洋;3=北大西洋和北海;4=波罗的海;5=南太平洋;6=下加利福尼亚,包括加利福尼亚湾;7=墨西哥湾和加勒比海;8=大西洋中部;9=地中海;10=南大西洋;11=印度洋;12=南极洲。
. N; q2 ]; X8 P 海洋生物通过分泌各种粘液,浸润船体表面的涂层,随后吸附并扩散进入涂层内部,从而形成粘附。
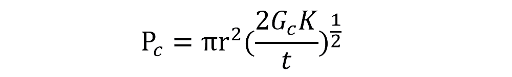
/ N. F7 W( j, w0 ? 粘附主要通过化学键合、机械锁合、静电作用、扩散机制这四种机制中的一种或多种实现牢固粘附,要想使污损生物脱附,就要破坏这些结合机制。从断裂力学的角度来看,要将生物层和涂层剥离,临界的剥离力Pc与涂层的一些性质有关(Kendall (1971)):
; ~% W) r7 n9 {" f- a# t2 g 
8 T5 j5 S J8 p' H. @ 其中,t为膜厚,r为接触半径,K为弹性模量,Gc为格里菲斯断裂能(与涂层的表面能正相关)。
; O3 K: z4 m5 M$ b% X- J" W 从公式中可以看出,生物层与涂层的剥离力与涂层的表面能和弹性模量呈现正相关,与涂层厚度呈现负相关,越小的表面能、越小的弹性模量和越厚的涂层,所需要的剥离力就越低,越容易从涂层上脱落。 # W/ O1 O$ C) @# P `* B
上述公式中描述的参数是在防污涂层设计时需要考虑的影响因素,在实际去除污损的时候,会在涂层中加入一些有毒物质,或是降低涂层表面能(低表面能涂层),或是连带着污损生物一起脱落(自抛光涂层)。 ' B e' k4 I+ x. m+ X" N% }/ Z& k) {
除涂层外,也会采取一些辅助方法去除污损生物,常用的有电解防污和动力工具去除的方式。 8 [" f: Y6 }0 b8 J- I4 Z
01
- N- c5 o; G+ j' F; b ▎电解防污
7 g. l: A3 f5 f( [ 电解防污是通过电解产生一定浓度的杀灭污损生物物质(次氯酸根、铜离子等),需要在封闭或半封闭的场景中应用。
- u* H# k* O3 o0 r 02
6 k) D2 t) W! [' g) u1 c2 u1 [ ▎动力工具去除 ' B% ?" Y) L. n* f# J$ D, A' C
以往的动力工具由人员携带下水清理,现在以发展出水下机器人替代人工作业。 " {7 O/ j& o" i0 ?7 W
水下机器人通过电动刷或高压水的方式,主要在船舶靠港时候进行清理作业,但水下机器人需要在一定可视范围内进行作业,在黄海、东海部分海域海水浑浊,水下能见度很差,就很难进行机器人清理作业。
% B( C, j# n% j8 F% p2 k* h! E 此外,对于已经牢固附着的污损情况,清理时会将面漆也一同破坏,需要后续的面漆修补操作。
' g. i$ H# [4 g( u8 @8 }; E 上海船舶工艺研究所一直秉持数字化、绿色化的发展理念,坚持高长效防腐防污技术在极深极远极热极寒等严酷海洋环境下发展方向,长期致力于数字化工艺设计、苛刻海洋环境工程材料蚀损机制研究及检验遴选、长效防腐防污关键技术与装备研发及规模化应用。现已开发“揭帖式防污衣”、“石墨烯系高效防污涂层”、“船用电解防污设备”等防污技术与装备。
" T9 D: j7 M2 u, L 
+ I" P( Q1 f7 G8 b 图
! @! _$ Z( ^' Q4 e+ E 水下清理机器人 1 r* o+ J) E1 i. X/ H! I4 _
目前,尚未发现与海洋生物完全不结合的表面。数万年的进化给这些生物配备了粘合器官、物质和技术,使它们能够生活在任何它们遇到的表面上。我们只能通过最大限度地减少界面粘接能,并促进和加速污损粘着的失效来实现防污。在通过涂层进行防污应用时,涂层的弹性模量和厚度对界面的强度有着决定性的影响,根据污垢与涂层界面断裂力学分析,具有低弹性模量和低表面能的厚涂层能够使表面的污损更易去除。   / ?$ q1 W" Y; d A; w- s. f0 G
 fill=%23FFFFFF%3E%3Crect x=249 y=126 width=1 height=1%3E%3C/rect%3E%3C/g%3E%3C/g%3E%3C/svg%3E) 5 M4 g8 }: j* n% ]% v- n' |$ j
长按识别二维码 * p! Y3 C$ \4 n: {8 N5 i
关注我们  fill=%23FFFFFF%3E%3Crect x=249 y=126 width=1 height=1%3E%3C/rect%3E%3C/g%3E%3C/g%3E%3C/svg%3E) 5 k; s; |- N9 Q, f- Z% g' k( L
* t6 y) F) C) P8 g# A" v D8 R0 T' ?, V6 N p
|