|
& ^- i2 V# N) ^2 u/ h7 Q, K; B. }; X/ M
测绘人招聘、求职,首选“必高测绘人才网” ' ^4 K% q+ d9 j/ W/ `
合成孔径雷达(SAR)能够全天候、全天时工作,对地表具有一定的穿透力,相比于光学图像具有较大的优势与应用前景,但SAR特有的成像几何结构对其处理具有一定的难度。SAR数据处理的好坏直接关系到SAR的应用,而校正是SAR应用的前提。 , e$ Q, R8 O5 O& {$ x! T7 X" r
目前SAR图像校正主要分为3种:椭球表面校正地理编码(GET)、地形校正地理编码(GTC)及地形辐射校正。GET是没有进行地形校正的,GTC是采用DEM进行了地形校正的。由于SAR图像会存在透视收缩、叠掩、阴影等几何与辐射畸变,在运用SAR进行分类及定量参数反演前(如土壤湿度、森林生物量)需进行地形辐射校正,以消除由于地形起伏造成的畸变问题。
+ H* I/ J# e- ^ 1989年Freeman$ Z9 Y+ v2 l$ ?
A提出了基于当地入射角的地形辐射校正方法,随后国内外大量学者进行了地形辐射校正方法研究。但是对于叠掩较为严重的区域,这些方法还一直处于改进与发展中。本文在分析总结以往地形辐射校正、SAR图像模拟的基础上,采用一种基于规则化因子、入射角等相结合的方法,对ALOS/ s- P0 k# k8 v. C9 `8 ]
PALSAR数据进行地形辐射校正,对运用SAR图像进行定量参数反演等具有一定的现实意义。 1 SAR系统参数及几何定位模型, z) `8 v& A5 S2 O. ]
1.1 ALOS0 P, E8 O- W- o& q# [) s/ a; c( Z8 l
PALSAR系统参数介绍
0 R# g9 L5 ^) [
) o) V/ \" _/ `# z ALOS卫星是日本的对地观测卫星,轨道高度为691.65 km,周期为98.7 min,重复周期46/ r9 B4 A# y" P! U
d,带有3个传感器,其中PALSAR有3种观测模式:精细、扫描、极化。精细又分为精细波束单极化模式(FBS)、精细波束双极化模式(FBD)。数据选取2010年9月11日的ALOS/ q: f7 ?5 M( o
PALSAR数据(见表1),地理坐标为:103°35′47″E-104°22′40″E,31°23′48″N-32°00′13N,位于四川安县与茂县的接合部位;区内地形复杂多样,主要为平坝、丘陵(台地)、中低山3种类型。即以大光包斜冲断层和北川冲断层为界,西北部属四川西部地槽区的前龙门山褶断带,系龙门山脉,地势较高,高川乡境内的大光包海拔30474 t3 N9 s4 s; w# }& C; ^
m,为区内最高点,东南部地势相对较低,最低点位于界牌镇石安村与绵阳市交界的安昌河,海拔为490 m。
* r1 Z! F9 K) V3 I' M5 `/ z& R( C8 [& B# e6 a: x4 {& \) |6 ^

$ C" c3 {- y8 l* m: @1 W# W 1.2
5 E% m6 ~; |, @9 K0 J u8 r SAR图像几何定位模型 6 N3 b1 c1 S: p2 _( s
SAR作为一种主动遥感成像方式,提供了传感器到目标的距离和多普勒历史信息。运用这些信息可以精确地将卫星和地面坐标相联系,从而构建SAR定位模型,通过解算定位模型就可以得到每个像元的地理坐标。R-D模型是由Brown首先提出,Curlander等发展了该模型,并给出了作为分析问题出发点的3个基本方程。R-D定位原理是利用等距离线、等多普勒线在地球等高面上的交点确定像元位置,如图1所示。 " G# N3 c' m& J
" a$ N9 c* [+ g4 V0 A' q
 , I. Y4 X! u/ ~0 z' n0 W
图1中,S表示卫星的位置,A为地球表面上某地物点,地物A在椭球表面的投影点为A′,AA′为地面点的高程为h,RSO与VSO分别为卫星的位置与速度矢量,RAO与VAO为A点的位置矢量与速度矢量。地物点A的地心惯性坐标系(GEI)坐标矢量RAO=[X
; m( s: b9 s0 J$ x! t Y Z]T;对于WGS-84椭球,Ra=6 378 137 m, Rb=6 356 752.31 \3 u9 Y; J! g8 t* D
m;R为卫星到目标的距离;fD为A点对应的多普勒中心频率;λ为雷达波长。RD定位模型就是从SAR成像的几何角度来建立像点(i, j)到地物(X, Y,
' g2 b# y0 l; {! S5 Y Z)之间的关系,由此得方程:式(1) 为(X Y Z)需满足的椭球方程;式(2) 为卫星位置矢量与目标矢量满足的距离方程;式(3)
|& x( \ _. m, s @6 ^# Y" f 为多普勒移频方程。通过解算可以得到每个像元的地理位置,解算RD定位模型的参数可以从PALSAR头文件中提取。
; M( y6 x4 V9 D* b5 k: \: z
5 i% {" `& i4 ~ X (1) 1 y. W. |3 z0 Y/ ]7 F
(2) , D! j$ q0 W* a' x+ A' \ v, r1 a
(3) 6 E1 ^# D9 ~" V
22 P( I6 S8 ~, j1 a R* Q
SAR图像模拟 在对SAR图像进行辐射校正前需先进行几何校正,模型参数迭代优化过程需要利用控制点。对于山区,人工寻找控制点需要消耗大量的人力物力,有时很难实现。采用模拟影像与真实SAR影像可以实现快速、自动的高精度配准。目前模拟SAR图像主要分3类:相干系统模拟、非相干的图像模拟和基于图像的模拟。在此采用DEM建立地面坐标系与斜距坐标系的映射关系,进行SAR模拟。首先根据PALSAR成像参数,
" i1 v- J# m+ F 采用RD定位模型, 计算DEM每个像元的SAR影像坐标(i, j),% h9 f" U, {, Q# M7 v1 B3 I+ n
并将结果保存到查询列表(LUTA);根据模拟出的SAR影像,计算每个DEM像元的当地入射角(如图2所示)和投影角;根据纹理及几何特征对模拟SAR影像和待校正SAR进行自动配准,建立多项式方程,计算模拟SAR影像对应的真实SAR影像坐标,并更新、精化查询列表(LUTA),& Y, B# r# y1 i% k8 Q
求算每个DEM像元对应的真实SAR影像坐标(i, j), 将其像元值重采样到DEM坐标空间,* F4 [, P; @9 o- Y- b. j/ I( s. `- f V
得到与DEM大小相同的模拟SAR影像(如图3所示)。模拟的图像纹理特征与实际的SAR图像非常逼近,反映了成像所独有的透视收缩、叠掩、阴影等基本特征。由于模拟影像的后向散射强度是通过计算像元和局部入射角的经验函数相乘得到的,在模拟时没考虑地表后向散射的独立性,对于平原区大部分为常数值,而研究区大部分为山区,并不影响整个图像的自动配准。利用模拟影像与真实影像的匹配可以弥补轨道数据的不准确,从而实现精确的几何校正。此时校正只是根据地形和定位模型将SLC影像的像元值经重采样正射到其地面实际位置,$ q9 I2 w8 J, D# _& x- L9 U# K
与原始图像相比发生了明显的变化,尤其是叠掩区域,明显拉伸,并没有对像元值进行地形辐射校正。' ^( w) U p2 g( X4 r/ J/ `. G& G% f

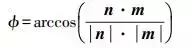
+ ~6 D8 v2 T+ f& l- \) N 3 地形辐射校正在地形复杂区,雷达成像的辐射特性受地形的影响较大,几何校正后还需对SAR图像进行地形辐射校正,校正的好坏直接影响定量化反演的精度。图1中n为地面单元的法线,m为成像面的法线,θ为当地入射角(n与入射向量的夹角),ϕ为投影角(向量n与m之间的夹角),δ为参考入射角,则 7 A2 q. J: M. G& T0 i: F# e
 6 A" H# t' i. g+ y$ }" U5 b
(4) 1 x# R |" A- J/ H+ G
6 ?# `' W- |; C
(5) . E& B- i) `1 B6 q, Q
投影角ϕ又可表示为
# j& B F: r6 [1 K0 I, F4 O  # k8 q- ^. Z C, w1 A
(6)
- x8 U c. E `7 X8 a0 }( V! N d& s; C. K
 ' f! w! n8 |( E0 p
(7) 1 I. O4 e+ k# i
5 a3 N) W% Q# G! z6 y* W
(8) , z- ?* n1 q$ k& b) o( ^- `7 w
式中, RAO和n可以通过已知的DEM求算, 但要求算对应目标矢量RAO的SAR影像坐标(i, j)及卫星位置矢量RSA,7 e0 J* h- ~3 {0 ?1 C, H& E
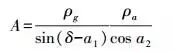
需要通过SAR卫星成像参数及建立R-D定位模型来确定。设地距图像中距离向与方位向间隔为:ρg、ρa则在雷达视线投影向上的面积A为 1 A) O% e. t7 t( ~$ V) M1 J6 m
" i0 ?5 f( _' y) Q
(9) 9 H' \; n2 B! @- L6 K% ~
式中,a为最大坡度角;a1为距离向坡度角;a2为方位向坡度角。推导后其关系为:tan2a=tan2a1+tan2a2。为了消除面积效应,对灰度图像乘以规则化散射因子,其因子为
$ h7 a! p" u: F- r& L9 B1 _- O3 }4 @# B2 i% A2 K
(10)
e- w& }2 E1 h/ A U 结合规则化因子及入射角,建立校正模型
8 P9 K- A: h% j x9 L# \" m2 g, o/ W
5 s4 V+ ~' ~: @5 q. K+ e( o
6 g) W/ f ^# ?' ~& x
4 k* A: `9 k6 c6 ^ (11)
( ?& Z+ {- G, o" C: e+ e N" A/ n+ z% X
式中,β0为成像面散射单元对应的后向散射系数。 ) r4 M, b, j" n+ q2 y* b% m' u
为了评价校正的效果一般常采用影像校正前后方差减少的百分比来衡量,即 - F1 o9 j+ G3 |3 Y" D1 e5 k; c
, q4 Y. W8 {" O (12) " D$ {4 ^% C9 {- A! F" I! V
校正前影像方差为0.15, 校正后为0.12, 减少了20%,校正效果较明显。从图
3 f1 }4 c: O- [+ U$ k, c# | 4分析,校正后朝向雷达入射方向与背向入射方向的明暗差异明显减少、纹理特征更加均匀,地形引起的后向散射单位面积变化对散射系数的影响得到了明显改善。另外经统计分析,校正前散射系数与当地入射角具有明显的线性相关性,校正后相关系数显著下降,由此验证了本文运用的方法是可行的。
0 v" \3 X. Z0 k  ! y( Q0 K* e8 N) p3 F3 D" N. Q
4 结语由于雷达特有的成像方式受地形影响较大,对SAR图像进行地形辐射校正具有重要的意义,尤其对定量反演研究。文中以ALOS
. O3 Q4 ^5 t; _8 R: s; } PALSAR数据为例,在对SAR成像几何结构分析的基础上,重点研究了基于DEM的SAR图像模拟的地形辐射校正。模拟后的SAR图像在山区纹理特征与实际的SAR图像非常逼近,有利于运用自动控制点进行配准。通过模拟的SAR图像可以精化查询列表,结合RD定位模型对原始SAR图像作了GTC校正,将SLC影像的像元值经重采样正射到其地面实际位置。结合当地入射角及投影角,在计算规则化散射因子的基础上进行了地形辐射校正,经过校正,朝向雷达入射方向与背向入射方向的明暗差异明显减少、纹理特征更加均匀,散射系数与当地入射角的线性相关性显著降低。
* o6 I& t, J% }, V 文章来源:测绘通报 ) D* }* K- D. ]9 T9 y q, _
招聘、求职咨询微信/QQ:380471934 0 u+ F% u9 D6 m3 h* `
免责声明:仅供交流学习,若遇版权问题,请与本号联系
$ w3 |% I# n. E' A 点下回看最新测绘招聘职位】 - d5 y) p; W- `. o9 ?- B+ U6 c- L
【招聘】光谷信息,筑梦青春,有你,就好!!!
$ t$ X' i/ C: }; V$ Q5 s 招聘注册测绘师 测量组长 广东环粤勘测有限公司
7 l5 l+ t4 j" Z% X- j 招聘测绘外业技术员 测绘内业技术员 江苏兰德数码科技有限公司
% m, Q& P6 V* N i. d# j% i 广东国图勘测地理信息有限公司 诚聘:测绘项目经理 测量员/测绘
0 o7 Q/ p, |" S4 N, ] 佛山市三水国盛测绘有限公司 招聘:外业测绘组长 工程测绘工程师 j0 g# b# G( [ o: }* V
诚聘空三处理 地理信息技术员 航测技术员 云南新坐标科技有限公
8 g. n$ C; x9 [$ d 招聘项目负责人 测绘组长 绍兴市炬鑫测绘有限公司
$ ^% E1 ]- \% ~ _, [7 f+ Z4 Q 招聘测量组长 地下管线探测员 广州州游测绘技术信息有限公司
8 c& C7 l& n% ?5 e6 c1 C 柳州市国土规划测绘院 诚聘:不动产权籍调查员 航测技术员 ! p2 W' S* N6 H3 E/ G9 {0 V
诚聘:测量组长 项目总工 山东明嘉勘察测绘有限公司 6 W7 T9 K* v2 N' d* ?3 s
合肥市测绘设计研究院2017年度人才招聘 2 F0 G" H- M# I& v1 ~" a
北京,广东,湖北,浙江,云南,山东,福建等3月份最新测绘招聘,期待你前来
# C- y o6 l; [: a 广州建通测绘 诚聘测绘高级工程师 项目经理(地下管线) - J( Z/ C% A3 s3 q+ {# e8 { w
中测新图(北京)遥感技术有限责任公司 招聘:测绘内外业技术员 航空航天遥感影像
1 O* F/ E( \" B y) n 诚聘:管线探测组长 测绘组长 深圳市龙海勘测工程有限公司
4 Y$ m' j( n# L+ s: E" w3 `; E 广东环粤勘测有限公司 招聘注册测绘师 测量组长
% U6 w6 A% X E; Q1 N 北京山维科技股份有限公司 招聘GIS开发工程师 工程项目经理 + V) g" l0 ?; U. G2 C' P/ { D
绍兴市炬鑫测绘有限公司 招聘项目负责人 测绘组长 & N% d. V' E% G- `( J- Q& B% d
广州州游测绘技术信息有限公司 招聘测量组长 地下管线探测员
0 z5 {" f( q1 b R1 h9 _ 云南新坐标科技有限公司 诚聘空三处理 地理信息技术员 航测技术员
- w {- T$ L" |' X 佛山市三水国盛测绘有限公司 招聘:外业测绘组长 工程测绘工程师
+ S! ?4 p' L. G" o$ p6 E* U# _6 L 招聘测绘总工 GIS项目经理 广东邦鑫勘测科技股份有限公司
* p4 _' a" l! z 福州闽地勘测规划有限公司 招聘测绘(量)组长 测绘项目经理
* P) G6 P6 w0 R/ ^& y6 p 山东明嘉勘察测绘有限公司 招聘生产管理副总 项目总工
$ Q; Z8 A6 \; x. O5 W7 w& Q/ z% j 杭州环地测绘工程有限公司 招聘:注册测绘师 管线测绘工程师
6 j- \- U( a6 l3 K: y. L3 U& g 西安大地测绘股份有限公司 招聘:GIS开发工程师 内业技术员 # W# I' h9 B6 P: A
江苏兰德数码科技有限公司 招聘测绘外业技术员 测绘内业技术员
l8 b E' e- X1 Q6 ^ * i6 ]7 o$ ^5 ^2 f. T3 Y/ U
和我们一起发掘有深度的测绘技术 ) Y3 V+ g% Y- h' p
【干货】控制测量作业指导书
4 z0 c8 g+ I; g 【秒收】三角高程测量原理及计算,值得收藏!!! $ u p# q6 M. e k: X" q
【技术】用5个摄像头做倾斜??OUT了人家都用8个的了!! , R+ K8 B4 [/ z6 G& E1 ~6 O
【干货】高程控制测量 + i4 O/ G7 E& {0 V |: t
【技术】快速学习RTK的方法 # N! r! d% B6 E6 U& c F* T+ F
【秒收】编程如此简单@卡西欧5800p计算器所有编程命令解释
7 U( n, w1 A; `+ m 【秒收】如何解决RTK与全站仪测量误差(值得学习) : ]) e! D5 _: N
【关注】供需比超1:6,得益于测绘行业快速发展 / V3 ^% Z) @0 y+ C, r% W
【技术】中海达GPS静态后处理操作教程
$ ]9 o6 { d b+ O' ^" \ 【技术】教你如何通过纬地道路数模功能剖切三维数据原地面线 ' o! t5 W) w& _/ ] s
【视频】纬地与CASS交点法逐桩坐标计算及对比分析
, s& y5 E) k; x" \1 A" d 【秒收】工程控制网 6 z4 S( s8 c8 ~; c* \3 p( x) f( z
【干货】COORD 坐标系转换 经验 " K' m( M* u. j
【干货】全站仪观测点时棱镜偏移的误差
$ `$ @: a+ a/ f 【秒收】编写地质报告易犯的17个大问题
& q1 A" d% _, }" j6 R6 X 【视频 】 八分钟了解我国北斗卫星导航定位系统的发展历程 8 R1 ^% p4 ]' G8 S% [6 y% @
【秒收】手持GPS参数设置及全国各地坐标转换参数
& _) q' M8 }! |( k 【分享】李德仁院士: 测绘人眼中的智慧城市 , d/ ~( e. x/ e2 F, M8 ^. r& v
【秒收】如何将EXCEL测量数据导入RTK手簿? . d6 v2 v6 s6 q: j
【技术】导航电子地图中一种基于里程参数的道路平面几何解析模型 ! s% K6 c: \ ~" X
【干货】GNSS数据质量分析 # o1 Q8 d0 }/ z! }. V7 z, i
【海洋测绘】海洋内波的观测方法
9 T$ C- q) _& f, e9 R" t& b 【秒收】全站仪任意点架设仪器测高程的各种方法 9 Q& S' v" X2 i8 z7 O
【秒收】工程测量仪器简述
7 ]1 H4 M1 k- |: }& y1 W 【干货】管道施工测量,不懂的来学习 8 X+ }! w4 N; t$ i9 J: c w1 |
【干货】3分钟告诉你如何轻松解决道路测量难题
% l, y. P# `3 Z 【动态】不动产登记累计中标超29亿元,数据整合招标将爆发
3 }* R ^' h1 j 【分享】2017地理信息行业发展方向预测 3 }- R/ h/ M$ Y* d4 }1 x
【植保】2017年植保无人机普及速度明显加快 / |, ~- Y# H! e2 \3 S9 ?) |) f6 T
测绘人:请为我们自己点赞!!!
0 Q- h6 a1 c; c" m# C 【不动产】全国联网并非是要“以房查人” 5 e5 Z' J! |' U0 b+ U2 q5 M8 {% d5 K
【技术】三维城市技术浅析和应用
9 u4 \5 Q$ W# H8 i" @3 A; g 【干货】RTK仪器简单操作步骤,绝对实用!
$ S* [3 ?5 E, U0 `' Z# j 【干货】GPS高速铁路平面控制测量
0 T$ ]! E* Y8 m! |+ |& r0 R 【技术】浅谈路桥施工测量放样 8 n6 K* D- {& r2 D
【技术】全站仪坐标引测38步,新项目开工必备!
! e# C6 e# T) M 【技术】"智慧城市"设计存在三大误区 % V( C. B$ F/ C( W" S. s. G
【盘点】我国常见的高程系统的转换关系
! m) O9 ~4 ]" I) {, S4 m 纪录片《地理信息革命》,有种好莱坞大片的感觉! 1 i' Z9 k7 l8 d# n J3 J. T
【太全了】测量放线施工方案
! |, l5 @! t+ y; P: r4 b 【技术】移动测量系统成本3年可能降到30万元以内!
: ~2 I, B9 L3 S 国务院给国土部下了16项重大任务:土地确权及相关法制建设上榜 2 E9 U: K0 I3 R+ Q. ~2 m
【干货】利用Excel在AutoCAD中批量绘制断面图的方法 6 e* q% i: q0 I( _
【技术】北斗高精度有望破解共享单车定位难题
+ f( e M' @; t0 E4 @ 【技术】中国北斗与美国GPS优势比较谁更强?
. @! @6 e* C+ y5 T 海洋环境探索监测动态频频,你的海洋仪器准备好了吗? ! w- r, ~4 J' K$ W! d
【秒收】水准测量、三角高程、对边测量三种方式的比较
- B) j# @$ A M+ r 【干货】坐标转换怎么办?南方NRS转换参数加密播发系统
$ {& V3 ~1 H. M, I0 ` 【技术】水准仪i角的检验
3 [. ^; M( O$ m4 h) C1 w! L: P 【技术】一种利用倾斜影像提取高精度DEM的方法 " q# ^- l5 o# t/ p4 T
【不动产】不动产权统一登记实现“四证合一”
! X% X: Y e& N8 E6 ^* ?8 z 【干货】RTK手簿软件操作快速入门 , ]! x* Q9 [2 g( q
论文库| 国内相控阵ADCP技术的开发研究
1 ] y' j2 l) {# V# i& p5 x6 [ 将成为我国继高铁、核电之后的第三张国家名片:北斗系统
# Q/ _- I/ b! F! z# O5 p 【不动产】今后农村土地终将成倍升值 \9 M' F8 Y$ ?/ Q" Y K, o7 P
【干货】全站仪中的参考线功能如何使用?
" {) `- }4 p1 z 【分享】山东省建设工程标准《地下管线探测技术规程》和《地下管线信息系统建设标准》 正式发布实施 $ K+ ]4 k' [1 d- e
【干货】水准仪、经纬仪、全站仪使用方法详解
6 M$ j# {, `3 ]4 o! E 【关注】无人机航测:成长中的那些伤与痛
: x: X# J1 a9 h) }( y$ U" f* f 【秒收】CAD,Word,Excel之间的转换,随你怎么换!
' W# K l q7 q% w. d 【盘点】哪些新技术被应用于智慧城市建设中? 6 C. K/ P. X9 Y8 V9 Y" x! h
【干货】玩转全站仪:干掉小问题,收获大成果
/ S/ b* Z* B% @ 【分享】RTK测量遇到“无固定解”怎么办? 3 `/ ^( }3 O, }% {
【干货】无人机倾斜的传统颠覆与倾斜摄影的介绍
3 r g. o4 {/ S9 f3 X: x" c a 【论】物探技术在水下管线探测中的应用
0 j! O4 n# V( ?" P1 o 全站仪测量技术-XX全站仪使用方法 , k; H( [4 C+ g
【技术】应用GF 1影像提取沿海地区地表覆盖信息的方法 ) {" g# Q) o. U7 O
【干货】CAD快捷键使用大全,赶紧收藏吧 $ ~* v: t$ R, Z% C/ p n& @2 Z' Y
【测量技术】浅谈对GPS不合格基线处理的几种方法 6 H9 n; K: ^9 {
【动态】大地测量、车载移动测量等6项行业标准正式实施 / I( V1 g' J. n# |7 W
【不动产】总理为百姓住宅70年续期做出重要批示?
" X0 @: {7 b+ p8 \* `6 }3 @ GIS应用 | 不仅仅是电影,GIS正在渲染一个真实的城市
/ ?' |# p3 L8 J8 ^: x/ N 【动态】国家海洋局将建成中国的“全球海洋立体观测网” 9 a& y3 z: l9 I! ]. ?% `' F
【学术研究】点云数据的多几何面片特征自动识别
, g' v# Y2 b2 C# [" F# l! K+ [3 p5 Q 【测绘专栏】RCD30倾斜相机与城市实景三维模型制作 ' c- @0 W P& D2 M; `: o
【知识】倾斜摄影测量和BIM技术与全要素三维智慧城市
7 I8 w& _' @' v! h& h4 ] {6 e+ S 【技术】三维建模关键技术的研究与应用 ' [/ ]3 ]/ j5 G, e$ T
【技术】让国产陆地卫星数据好用、会用、用好!
4 k+ U$ T& i3 `, O* e" x( L0 T& @ 喜大普奔:ArcGIS矢量切片支持自定义坐标系统 0 e" n0 U1 x' u& P3 w& U
【秒收】南方GPS静态解算操作步骤
7 }( M1 e' @9 r! |$ q6 S% U 【分享】CASS9地形图绘制教程 ' Y$ W6 x9 }! a, k) _' X
【干货】地质绘图的方法和步骤
/ a4 u4 i" q2 N& t 【参考】全球智慧城市都有哪些特色与前沿技术?
" q0 t+ ~0 f* r9 [& y 【干货】CAD中快速批量大量提取多个坐标点坐标的方法 ) C8 H9 d! {/ C& [1 R, K0 t/ S
就业:测绘工程专业就业前景和方向 , R- O$ i* S6 H, v* q1 O6 W
【干货】华测RTK手簿电台模式操作步骤
# c! A4 X: [5 z' y 【秒收】华测RTK使用步骤及注意事项
0 m5 Z1 R" `' T$ x1 P0 d/ w+ z 【干货】网络RTK支持下的无验潮水深测量方法及其应用 $ Z2 e) `2 Y7 B# C
【秒收】CAD,Word,Excel之间的转换,随你怎么换! 6 J- L' ?1 B7 k* ~( F; q
厉害了!全国首部地理空间数据管理办法发布 + _* K, s( ]+ |2 f* P
【干货】Win7 Win8 64位的下的安装cad和cass9图文教程
& d2 R5 Q m- f' f 海洋测量:深度基准面的确定与传递 * k+ P3 w; z) h' V
分享:通过CAD直接点出坐标的小技巧 ' H: l* `% M% S! @0 f8 G
【分享】太全了,沉降观测具体方法
. B) R, h: }# ?0 {6 B6 F- L# | 【秒收】测量测绘20个常见错误,史上最全面的抓紧收藏!
! V# Z' d, e4 j& g3 y 【秒收】53个CASS操作常见问题,附详细解答...... ' P9 t6 V. t6 `5 B
【秒收】3DGIS中几种常见的透明表达方式 + X! I: {" E3 y7 s5 l6 S5 c" `
【干货】WebGIS中等值线前端生成绘制简析 - `1 H' G3 k; f/ D% B( n# g; h
【秒收】无人机航测介绍及航测流程
; j# W* [7 E% q2 U, g 【分享】AutoCAD、全站仪和编程计算器在工程测量中的应
3 ~) ~. \+ g: y7 M$ C' I& Z  8 O6 F/ Y! r {3 f h Q. e9 n0 \
专注专业 专注高效
, u/ A0 |/ |3 j& L" w, N- V" y
7 `0 ~* H. B( B: A 测绘行业招聘求职群:105533835
_5 J. {$ O/ \1 u 北京测绘交流求职群:160454146
7 F8 N' o: L7 D( [: \: b, ?. P. B 湖北测绘交流求职群:378129080 广东测绘测量交流群:558126657# D% [" s, e8 b/ S1 a2 S" w! T
( p( }: r: P4 C 航测内业数据处理交流:549262702 GIS地理信息求职交流群 :524202011
" R6 C) b3 d2 X7 Q
- N8 M* A8 T/ U5 }( p6 ~! l 欢迎加入中国测绘人才网官网QQ群:416958184 H) r3 O# e$ a' H
提供:中高级人才推荐|网络招聘|猎头|专场招聘等服务 擅长的领域:3S技术开发类、无人机类、测绘测量类、土地规划勘察类
9 t/ u z! P- y/ v: K9 V: @" j/ m/ ~2 S2 b3 O3 u% m" ]8 s
手机点击阅读原文登录必高测绘人才网 A+ l/ q8 \4 r7 A8 P
' k3 U1 n/ K4 z) L r( ~8 J
( Z6 x8 }2 w* ^7 [" Z; Y" S1 {" B( O$ u9 h: V% f/ B9 q
- B. Z$ r, U5 Z0 K) ? c |