|
% ?3 u, N4 W( l" r# o
导读: ( a# P, K0 H W( @3 d5 A
港湾微型污损生物生态研究,是海洋生态研究中的新亮点。本文采用自行设计的港湾微型污损生物调查办法,于2016年3~8月和2017年12月至2018年3月,在青岛中港进行挂板浸没实验。用常规海洋硅藻检测方法。结果表明:3~8月的月板附着硅藻种群数量和优势种逐月变化较大;冬季百天附着硅藻优势种随浸水时间的长短变化:浸水30天的为小平片藻,浸水百天的为楔形藻、卵形藻和舟形藻;表层水中优势种为孢角毛藻,底层水中为中骨条藻。用PRIMER6软件计算硅藻种群多样性结果附着硅藻 > 浮游硅藻。初步得出影响硅藻种群变化的主要因素为环境温度,试板表面状态和大型污损生物种群相关。本研究为港湾环境的硅藻生态以及污损研究提供参考。
U3 u+ p" C/ k. b 01 . q) v! E9 n& D0 w8 K
基本信息:
+ v2 o: }! L/ M+ p, L; r9 I8 C 港湾微型污损生物生态研究——浮游硅藻与附着硅藻初探
8 ]' T" q' K; J& e! m Ecological Study on Microfouling Organisms in Harbor—Preliminary Study on Planktonic and Attached Diatom
. e7 k' f" C. Y+ G$ [' G5 A' Y8 d 作者: 8 R6 \1 W/ U& [3 A6 |5 o' c
马士德, 刘 佳, 段继周*:中国科学院院海洋研究所,海洋先进材料重点实验室,海洋环境腐蚀与生物污损重点实验室,山东 青岛;李宇航:中国科学院院海洋研究所,海洋生物分类与系统演化实验室,山东 青岛;青岛市海洋生物多样性与保护重点实验室,山东 青岛;郭 定:中国科学院院海洋研究所,海洋先进材料重点实验室,海洋环境腐蚀与生物污损重点实验室,山东 青岛;中国科学院大学海洋学院,北京;邰 余, 韩 文:青岛东启机械设备有限公司,山东 青岛
; v' k5 D# t! O+ c 关键词:
) v: a9 G$ t) R4 g 港湾生态;微型污损生物;硅藻
3 O; B7 P1 k0 `! x' [3 Q 项目基金:
a, @! t7 L- }! f3 e# Q- r( M 国家自然科学基金(42076044, 59471054和59071040)
: a7 C V7 X1 P/ [/ f O, w" x 原文链接: + {. C+ ], W0 ~% y" M
https://doi.org/10.12677/ams.2024.113015 ! \( j; u2 h# i8 E3 m4 a
02
6 @8 e0 J% ]7 N4 X0 d+ s 内容简介: : t% _) }. H' v# }
在汉斯出版社《海洋科学前沿》期刊上,有论文以青岛中港为例,利用PRIMER6软件实施调查资料的计算,为寻求附着硅藻与浮游硅藻的相关性,同时为脆弱的港湾生态系统提供基础数据。
& o% [ B* p$ }* y; ]8 u# k. G 取载玻片试板(2.5 × 7.5 cm),将其擦干后用丙酮和无水乙醇除油,清洗干净。用两条带槽塑料将载玻片试板紧密排列,并用捆扎带对载玻片试板进行装架后固定、备用。
! H8 Q- R! \: @. `. R. b8 d 于2016年3~8月在青岛中港海鸥浮码头投放月板试样架进行挂片实验(环境理化因子见表1)。将两个实验架试板分别固定在有金属重锤的尼龙绳上,然后将实验试架试板浸入海水中1 m左右。每月取出并投放新试架试板。用无菌手套将浸入海水的试板取出,放入装有40 mL灭菌海水的离心管中。为研究深度对材料表面附着硅藻的影响,同时降低大型污损生物对附着硅藻的影响,选择青岛冬季无大型污损生物繁殖的季节,即2017年12月至2018年3月进行100天的挂片实验。表层实验试架试板浸入海水1 m左右,底层实验试架试板距离海底1 m左右。第100天取出试板备用,并用采水器,采集表层和底层水样各1 L。
& r% E& @8 e$ G+ o7 D1 x: L, Q' q  # x F9 [9 w) Y! ^5 p/ o
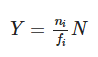
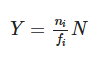
附着和浮游硅藻种群的优势度(Y)计算公式如下: ' V) T h/ V% c! D% x2 u3 ]- k( {
 , G0 f1 B: x# p; R" Y2 b9 K
式中ni为全部样品中第i个种的总丰度,N为全部样品中所有物种的总丰度,fi为第i个种在全部样品中的出现频率。
' p$ r" ?9 C( I* X. J( ` 月板表面鉴定出硅藻57种,优势种见表2。3~8月附着硅藻优势物种变化较大,详见图4。
( s: V' Z/ X! O' W9 r- N: T8 V. S 
# |, X' Y2 i& C 
) l9 Y F. B1 `& U( e, O7 g J 附着硅藻的物种数在3月份最低为12种,随后物种数逐渐升高,至8月份最高为24种。7月份物种数略低,为19种。Shannon多样性指数(H)在3月份时最低(1.05),4月份达到最高值(2.0),随后基本稳定(表3)。 & N8 u2 l8 z! u# M- I- P U$ d

6 u; U& Z1 I w# _5 ]6 |$ R 图6的聚类分析显示,表层和底层试板表面附着硅藻的群落结构最为相近,其次为底层水体中的硅藻,而与表层水体的差异较大。
) J0 ?; E& w9 j8 y* Y+ v 
% F# t# e. S& o8 i2 y, m+ s" X 结论 2 x( u5 ^! i+ \5 z, x; Y7 J
1) 3~8月的月板检测结果,硅藻的种群和群落结构逐月变化显著,是由于水温逐月升高、生物繁衍旺盛、试板表面逐月变化较大所致。 3 I7 f; F" r9 H2 S
2) 百余天的冬季大型污损生物处于休眠期,百天试片和海水中硅藻检测结果物种数相近,十余种硅藻均为该海域常见种,而优势种不同:表层水中为孢角毛藻,而底层水中则为中肋骨条藻,附着硅藻为楔形藻、卵形藻和舟形藻,而浸水三十天的冬季月板则为小平片藻,这是硅藻种群之间生存竞争的结果。 - i- \1 P: A. |- z. d. H
3) 冬季百天硅藻种群多样性底层大于表层;附着硅藻大于浮游硅藻。 3 j! O& M9 {3 _* Y1 ~- [
03
( d8 R/ s) o" K1 W3 G2 Z9 j 相关文章: : I. e* m! F! K
1.张凝, 孙东红, 颜纲, 邹宁. 底栖硅藻悬浮培养初探[J]. 农业科学, 2021, 11(2): 104-110. https://doi.org/10.12677/HJAS.2021.112015
8 k- M2 s1 L+ Z( w, T 2.谢钦铭, 张燕伟, 骆和东. 淡水蓝藻毒素及其对浮游动物生理生态影响的研究进展[J]. 水产研究, 2017, 4(4): 149-158. , g- z8 z0 S! T \, j4 P8 \
https://doi.org/10.12677/OJFR.2017.44022 % z% Q& y' Q; q3 w% \3 @+ \
3.马士德, 刘欣, 康宁, 韩文, 邰余, 段继周. 港湾海水界面微型生物膜表征研究[J]. 海洋科学前沿, 2023, 10(3): 194-204. https://doi.org/10.12677/AMS.2023.103201 / N0 Y) }6 Q% F% M
4.谢钦铭, 苏世杰, 辜光磊, 杨贵妃, 岳紫薇. 复合硅藻基质微生态制剂在青虾养殖的应用[J]. 水产研究, 2022, 9(3): 105-113. 0 y) j% {* ]8 V s) m. ]6 w0 S3 H
https://doi.org/10.12677/OJFR.2022.93012
& Q+ c) Q) B) W" y 5.陈应美, 王正厅, 罗会兰, 秦燕. 微藻生产生物燃料的研究进展[J]. 化学工程与技术, 2021, 11(4): 196-206. https://doi.org/10.12677/HJCET.2021.114027
# K, U: i/ ^& S3 t 所属期刊 0 L7 a2 ~% z9 L" L1 J8 z1 y
 
9 ~9 ]" t2 l% I U5 N' r6 E -Advances in Marine Sciences-
4 ?1 x2 ?, A6 O' P- c+ D; W 《海洋科学前沿》是一本关注海洋科学领域的国际中文期刊,主要刊登海洋科学、海洋生物学、海洋环境学、海洋资源学等领域具有创新性的研究成果及前沿报道。本刊支持思想创新、学术创新,倡导科学,繁荣学术,集学术性、思想性为一体,旨在给世界范围内的科学家、学者、科研人员提供一个传播、分享和讨论该领域内不同方向问题与发展的交流平台。
3 ]- R# B* ~' J9 ` y 声明:本文转载仅仅是出于传播信息的需要,并不意味着代表本公众号观点或证实其内容的真实性;如其他媒体、网站或个人从本公众号转载使用,须保留本公众号注明的“来源”,并自负版权等法律责任。如本公众号内容不妥,或者有侵权之嫌,请先联系小编删除,万分感谢! RECOMMEND推荐阅读$ r& z* U2 @6 i0 a$ y6 w8 a
研究揭示光污染对鱼类行为的影响存在代际传递效应 3 \, W% a0 J4 ^$ A0 _# N
光电子|基于相位调制光谱展宽的低相噪光电振荡器 # V' v6 y; q2 ] C: v( S$ F
活动|10月最新优惠期刊来袭 8 T% ]3 I2 D+ J2 D

, Y2 E \& g% i8 I 
" Y) y A% b8 K# N9 X% @* U
投稿联系:027-86758873 1 ^2 \9 i4 b7 z: G$ `: N5 T
QQ:2194278918 7 r2 Y( I6 l# s! L: n
微信号:15802748706
, s3 ^0 A0 ?; d/ `+ O0 Y) }$ { 投稿邮箱:2194278918@qq.com
4 Z8 v. v" w+ M" F: c* N9 k7 u 合作联系:service@hanspub.org
' H5 b c6 @: g4 n! ] 点击“阅读原文”,免费下载论文
! H: o) ]; H3 B% F7 P) N( V& X" o3 G. {6 D ~' g# Q
) ?$ X, \! g8 d9 n7 t
; |, i" L5 N5 u* {- l$ p/ a7 U9 K1 Z$ S$ ^7 K, b! q% t! `
|