|
" T# I9 ], \9 H! {, J" s

& ]/ } \+ a& m& C* C2 B. U/ [: H: h% S 声学方法是现代海底地形测量的基本方法,早在19世纪人类就已经认识到通过测定海底反射声波的传播时间可得到水深值,但直到20世纪20年代,在电子传感器技术高速发展的基础上,声学测量才取代了传统的铅垂测深法。近年来,各种声学探测设备发展迅速,为我们揭示了小到数米大到几千米的海底形态。
+ ?, o! `) M+ M2 Z4 J: @$ b/ | 
/ O9 H' s6 `6 d' S2 i 声学探测设备) j' K- {; Z9 @. ~1 c( P1 v# H5 E# ^
⒈ 基本原理 4 t7 w& R) J! i4 S
古语有云“工欲善其事必先利其器”,在使用这些“器”之前,首先要了解原理和性能,但是让所有技术人员都现学“水声原理”显然是不现实的,去听从本科开始到硕士阶段总计近150学时的“海底探测与数字化技术”的课程更是有些惨无人道了,所以在这部分,我们可以通过几个经典公式来系统了解一下声学探测设备的基础原理。 9 L/ e) G: r& B/ O* j
(1) 声学方程 * S8 W+ }/ Q' @4 @8 O. A1 ^
这是一个以能量平衡为基础建立的公式,各参量以分贝为单位,以1微帕的声强为参数基础。下面让我们认识一下各个参量。
0 c4 y1 {. S; I2 X0 W7 Q 仪器参量:SL——发射器声源级,发射能量大小,通常可调;NL1——发射器自噪声级,和换能器元件、电子电路有关,通常是一个定值,且随着设备使用时间增长而增大;DI——接收指向性指数,在声轴上接收器灵敏度最大;DT——检测阀值,接收器所能识别的信号强度下限。 , Q7 w2 i2 {; ]: P7 g
介质参量:TL——信号传播损失,声波振动在介质中传递的能量损失;RL——混响级,介质的共振所产生的假波;NL2——环境噪声级,介质中存在的声阻抗界面产生的反射等。 ) I* o& ~5 N2 _$ c' t' Y4 x
目标参量:TS——目标反射强度,与目标物外表面的材料有关,主要涉及与外部介质的声阻抗差异;SL——目标声源级(与被动声纳、水下定位系统有关)。 $ [+ x8 }3 {: x) ?2 d5 J; V
我们所使用的声学探测设备都是在声轴方向上主动发射声信号的,声源(换能器)即发射器,将声轴上1m处的信号强度作为基准,信号到达目标时强度为:SL-TL,返回时为:SL-2TL+TS,在考虑环境背景的情况下,噪声的声强为:NL1+NL2-DI,为了表述简便,将发射器自噪声和环境噪声合为NL。分析可知,如果想要使接受器检测到回声信号,则有: 7 u, h9 o2 s) Y- \2 I
DT≦SL-2TL+TS-NL+DI ; v2 g: d& E8 j" Z
所有声学探测设备的指标、参数都与上面这个等式有关,之所以使用“阵(Array)”而非单个换能器,也是为了通过发射或接收时的信号叠加,来优化各个仪器参数。在接收器所能识别的信号强度下限固定时,不同的环境条件下通过调节设备参数获得最优声学图像就是改变等式右侧各个仪器参量的过程。 8 B8 \2 G5 C& w8 {; v$ Y4 r2 ]
(2) 仪器分辨力 9 N5 ^& Y5 l6 |
从声学方程中我们知道了声信号在换能器——目标物之间的传递过程,但是对于目标物的探测而言,仅仅有信号返回是远远不够的,那么,如何才能实现信号对物体的识别呢,或者说,信号的物理特性和目标物之间应满足什么条件时,我们才能得到清晰、准确的反射图像呢?
, U, l" C7 |. J& d4 ] 在理想状态下,声波在传播过程中遇到遮蔽物时,如果声波波长远大于遮蔽物特征尺寸,会发生透射,即直接穿过遮蔽物,当波长接近遮蔽物特征尺寸时,会发生衍射或绕射,只有当声波波长小于遮蔽物特征尺寸时才会发生反射。但是,由于水体自身存在声阻抗,信号在传播过程中会不可避免地发生衰减,这一现象在深水条件下尤为突出,因此简单地将声信号波长当做仪器分辨率是不合理的。
- m$ E# I( N3 c 通常我们会使用一个经过简化的计算参量——第一菲涅尔带半径作为衡量仪器可识别尺寸的指标: 5 b: }7 ]0 ~4 N) G# ~

& w0 {/ @& {7 W7 ^ 式中,入为声信号波长,h为水深,只有当Rf1远小于目标物特征尺寸时,声信号才能对其进行识别。
" ]# v7 K: ^+ U8 X) s: V; f& B: [ (3) 时深转换 # D5 F8 v- a. S" K& \3 i1 _. n
发射器产生的声信号,到达目标物后发生反射回到接收器,从发射到接受的时间差与声速相乘再除以2,即为发射器到目标物的距离。
: B( P( P' G2 z: t$ J* D( R6 r# o 具体表达式为:D=Vt/2
6 Q5 q* @ W. p2 ]( J6 U (4) 多普勒频移
4 B$ n2 ]7 Z. x: I9 K6 t8 V 当声源和目标物存在相对位移时,回波信号的频率会发生改变,这就是著名的多普勒效应,具体表现为反射信号的频率在声源接近目标物时会升高,当声源远离时则会降低。具体表达式如下:
3 f# P/ e. o: N: h  . T) n7 H) p6 N! l
这一现象对很多高频探测设备都会产生影响,尤其是需要记录回波信号振幅、相位的设备,当然,可以通过计算程序予以减弱,但仅仅是减弱而已。有的设备则是利用这一物理现象来工作的,比如ADCP、安德拉海流计等,通过记录信号频率的变化,反算目标物的移动速率。 * d V4 a6 ?- j7 ?; |
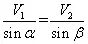
(5) 声波的折射偏移
& Q! [* C# W" U3 R5 z9 D/ L 由于温度、盐度的差异,海洋中存在一系列声速界面,即上下层声速不等的水体,当声信号通过这些界面时,传播方向会发生改变。具体表达式如下: 0 Z' r8 w3 B1 H$ y5 P1 w, `. ^
 2 X% w) T- K: E. k! L" O
式中V1,V2分别为上下两层水体的声速,α,β为声信号的入射角和折射角,可以看出:首先,垂直入射的信号是不会发生折射偏移的,其次,入射角越大,偏移量就越大,这一现象对条带测深系统的影响非常明显,在没有水体声速改正的情况下,条带测深系统获得的数据反演出的海底是呈“V”形或倒“V”的,也就是说测线两侧越接近边缘部分测得的水深越浅或越深,海底图像发生了极具规律的变形。
6 D* y' z3 R k ⒉ 常用声学设备简介 / ~' M5 i' i; G4 j
通过上文,我们了解了最基本的水声学原理,下面就来看看利用这些原理结合现代传感器技术开发生产出来的各种声学探测设备吧。需要明确几点,首先,所有设备都是系统运作,也就是说需要若干辅助设备才能实现其功能;其次,设备没有好坏之分,只有适用环境、任务目标的差别,即没有绝对好的设备,只有适用的设备;再次,所有的探测数据都有多解性,小到对信号的甄别,大到对目标数据的提取,都需要技术人员在熟悉仪器原理和区域环境的基础上付出大量的工作才能获得准确可靠的成果,不存在所谓的“完全自动化”。 6 N: ?, ^( X$ {% x
(1) 测深仪(或称单波束) $ L* x6 e/ P0 B- O# h! ]
测深仪换能器、工控机,定位系统(GPS),需要配合实时验潮;作业方式为船体安装,走航测量,岸上验潮或RTK潮位修正。其中的关键词是:时深转换、声速改正、波束角、运动改正。 ) D# ^# ^) M( d, C
单波束可以说是所有声学探测设备的鼻祖了,其原理非常简单,就是前文中所提到的时深转换。但是原理简单并不代表着仪器操作简单,为了获得高质量数据和清晰的反射图像,现场控制依然有很高的要求,拿换能器吃水来说,太深的话不仅会受二次反射波影响,还可能威胁到行船安全,太浅的话水体噪声又太大,信噪比降低也会使数据质量下降。 ; g: a& G# g' s1 W7 n2 n& Y* w
对于单波束而言,声速改正是比较简单的,因为其声轴是竖直方向的,不牵涉声波的折射偏移,只需要对沿深度方向的水体声速进行分层定值或平均再做计算就可以获得精确水深;由于单波束是记录最短的信号往返时间进行水深计算,所以目前的单波束都在努力减小波束角,使到达海底的信号覆盖区域尽量缩小,以获得更为精确的水深数据,但是在海床形态非常复杂的区域,即使减小波束角,单波束测得的水深仍然会存在较大误差(图1)。 ' v8 Z7 {' t6 e4 V" s. t& L' d
图1 使用单波束测深仪探测形态变化较大的海床时产生的误差 $ p& U' ^$ p' n6 n: z/ }
对于运动改正问题,目前在单波束测深系统中运用比较少,其原因在于单波束是记录最短的信号往返时间进行水深计算的,因此在船体的横摇(roll)、纵摇(pitch)小于波束角时仪器测得的水深是不受这两种运动影响的,只有船体起伏(heave)会对水深值产生影响(图2),但是一般在能够接受的海况条件下测量艇作业时受浪的作用起伏多是低频的,这种船体起伏对数据的影响可以在后期处理过程中通过分段平均的方式减弱,从而达到测量精度要求,因此,只要选择合适的测量艇,并将单波束固定安装在其重心位置处,就可以满一般测量的需要了。需要注意的是,当船体晃动严重时,波束发射会变成斜向,由此产生的误差会是相当可观的,且水深越大这种误差越大。
2 x" L3 t) T2 p5 L' u* P# d 图2 波束照射面积范围内船体的晃动对测深数据没有影响 ( M5 x, {# j% n, y1 ^0 ~
虽然单波束目前市场逐步缩小,但其在一些特殊条件下仍有不可替代的作用。比如海洋工程领域,试用双频测深仪进行浮泥厚度探测就是一种经济、高效的手段,由前文可知,高频信号分辨能力强,但穿透性弱,相反低频信号分辨能力弱而穿透性强,通过记录两种特定频率信号的反射图像就可以很容易地识别浮泥层顶、底界面,例如,在黄河三角洲海域,试用24kHz和100kHz频率组合的双频测深仪反射图像,剔除不可理数值后取平均值即可获得悬浮淤泥厚度。
4 m9 d! G8 ]& j# e& q1 v7 p (2) 侧扫声纳系统
0 @+ {* c( ] q' s K5 L! l! q 声纳拖体、工控机,定位系统(GPS),姿态传感器(可选配)。作业方式为拖曳式走航测量,其中的关键词为:半定量设备、探测面积大、动员时间短、目标识别快。
, g: u+ S9 h! ^7 s2 c, P1 P 自二战以来,声纳就是各国海军发展的重点,尤其是冷战期间的反潜,反水下渗透破坏,侧扫声纳的识别精度、勤务性、作业航速大幅度提高,以Klein
! {& \' Q: R) f, u* d8 @' W 8000型侧扫声纳为例,可在航速20节的条件下获得高清晰度的海底图像。侧扫声纳利用拖体两侧的换能器发射、并接收信号,然后根据信号强弱反演海床形态(图3),因此也被商家冠以“地貌仪”的噱头进行推广。
" D: y1 ] @5 J9 _/ i7 ]* W7 X 图3 侧扫声纳成像原理 9 |0 L2 y/ ?7 n8 y
但是必须清楚,侧扫声纳只能获得海底的高低起伏,也就是说它记录的是地形变化引起的反射信号相对强度的差异,而无法获得海床上点的精确水深,因此它属于“半定量探测设备”。由于侧扫声纳探测面积大,动员时间短,且对于具有特殊外形的目标物识别能力强,因此在海洋工程探测,抢险搜救,考古探宝等领域广泛使用,尤其是搭载磁力仪之后,对于金属物的探测显示出了其他仪器、作业方式无法比拟的优势。
1 I+ J5 v; k% Q+ F L# r/ X% P 目前的侧扫声纳系统多采用双频换能器,在满足大覆盖宽度的前提下提高分辨率。但是在一些特殊条件下,侧扫声纳的图像也会具有欺骗性,例如当海床上的沙纹小于侧扫声纳的最小分辨尺寸时,声纳图像上会显示一片强反射,在没有其他资料的条件下,作业人员很容易将这种区域识别为极硬底质甚至是礁石露头。这种现象是仪器原理决定的,如果拿不准,可以通过变换测线方向,比对同一区域图像的方式进行甄别,如果是极硬底质,多次测得的图像会表现出相似性和规律性,如果是由于超出仪器分辨能力产生的假波图像,则一次一个样,毫无规律。
; L9 f/ P5 j' b+ m) X' O 侧扫声纳也有浅水型和深水型之分,因此不能将水深作为侧扫声纳的适用范围区分标准。重量轻、体积小,换能器频率相对较高是浅水型侧扫声纳的主要特点,通常一个成年男子就可以搬动声纳拖体,如Klein3900型,拖体长度为1.22m,干重仅有29kg,工控机就是一台笔记本电脑,整体轻便,部署作业简便,因此这类侧扫声纳对作业平台的要求也相对低一些(图4)。 8 n( d& T5 H* N
图4 Edgetech 侧扫声纳产品系列
2 Q. p+ ~ s J* W: z (3) 条带测深系统 9 l8 Z; E9 d& S- X
上世纪70~80年代,国外厂商开发出了“条带测深系统”,此类系统可以实现对航迹线两侧一定宽度海底水深值的高密度采集,从而大大提高了水深地形测量的效率。对于此类系统,解算水深时最关键的物理量莫过于斜距和波束发射角。斜距相对而言比较容易获得,就是最基本的时深转换,而波束发射角的获得方式在基于不同原理开发出来的产品中就存在一定差异了,下面就来说说目前比较流行的两种条带测深系统。
. F7 _1 N# I2 e& q, V) o* a/ g ① 多波束条带测深系统(简称多波束) 7 W# t8 q7 J. g: J; [9 @( }
多波束换能器、表层声速计,工控机,定位系统(GPS),定向系统(罗经),姿态传感器(三轴MRU),声速剖面仪(SVP),需要实时验潮;作业方式为船体安装,走航测量,岸上验潮或RTK潮位修正。其中的关键词为:束控、时深转换、全覆盖、声速改正、波束角、运动改正。 6 j0 ]- {0 u7 O
将若干个单波束成排放置,就可以得到完全覆盖其下方的水深值,但这样显然不够经济,覆盖宽度有限,且需要的换能器也太多。如果我们将一系列不同发射角的波束集中起来,使其向海底发射,然后记录往返时间,这样不但能探测更宽的区域,还能缩小换能器的体积,在这一思路的指导下,第一代模拟多波束条带测深系统诞生了(图5),当然多波束也是目前最为复杂,作业控制要求最高的系统。
7 m% }; U [. C: ?9 B 图5 多波束条带测深系统原理示意图 ; g: h3 T6 [& v0 x3 G# O# Y5 \
多波束系统出厂时只能算是“半成品”,其换能器、定位、定姿装置、操控单元只有和载具完成安装后,才能算是一个完整的系统。波束(Beam)是通过多震源以不同位置和时间序列发射声波(Sounding),利用相位叠加原理形成的,为了精确控制波束指向性,多波束系统需要实时测量换能器附近的水体声速;同时为了使波束稳定低指向海底,减弱船体的晃动对波束的影响,形成均匀整齐的脚印(Footpoint),实现“船动我不动”,需要实时监测并记录船体的横摇(roll)、纵摇(pitch)、船体起伏(heave),以及航向,并调整不同位置震源的发射时间;由前文可知,入射角越大,在声速界面处声波的折射越明显,所以在作业过程中需要经常量测水体声速来修正水深数据。
6 O' N; |. j' P+ S 由此可见多波束条带测深系统所记录的物理量是非常多的,包括:换能器安装姿态校准数据、系统延时、定位导航信息、声源处水体声速、水深剖面声速、信号往返时间、回波信号相位,以及船体的三向运动等,把所有这些值全部输入工控机,才能获得正确的水深数据(图6)。 9 U! l+ Q5 w4 m+ }( A
图6 多波束条带测深系统主要设备 9 T' N& H( T( a! K9 c0 _
早期的多波束为了获得较大的覆盖面积,通常换能器的体积都很大,即使如此,在水深较小时仪器的覆盖面积也会受到影响,因此多数情况下都是在深水、中深水环境使用的,但随着传感器原理和技术的进步,逐渐出现了一些“浅水多波束”,虽然名字接近,但其原理和硬件构架更接近深水设备,比如,将发射器和接收器分置,换能器不仅要记录信号往返时间,还要记录返回声信号的振幅、相位,以获得更宽范围的精确水深,代表产品有Reson公司的7125,Konsberg公司的2040A,R2sonic公司的2024等,这类产品在继承了前代产品优势的基础上,都实现了波束分布的动态调节,以及在不损失数据密度前提下的指向性、覆盖宽度调节,使用更为灵活。 0 |& m# p& K+ g! `9 i4 E. l
② 相干声纳条带测深系统
2 j% O# m0 s" m. `* `' T+ j 换能器、表层声速计,高度计(单波束),工控机,定位系统(GPS),定向系统(罗经),姿态传感器(三轴MRU),声速剖面仪(SVP),需要实时验潮;作业方式为船体安装,或拖曳式,岸上验潮或RTK潮位修正。其中的关键词为:轻量化浅水、相干计算、宽覆盖、声速改正、运动改正。
+ L4 x9 q7 O2 r8 m4 R2 }: q9 _8 T' H 在多波束发展过程中,有人设想,能否结合侧扫声纳和多波束条带测深系统二者的优点,制造一种小型轻便,既能测量确切水深,又在浅水中有较大覆盖宽度的仪器,通过实验,相干声纳系统应运而生(图7)。 8 P* j( R/ f ]( S
图7 相干声纳系统 ) c y2 e& p/ @9 ?
由于这种设备是基于侧扫声纳原型的,声轴无法垂直指向海底,在其正下方信号强度很弱,因此需要在水下单元安装一个单波束测深仪来补充数据空白。相干声纳条带测深系统在浅水环境下能够实现极大的覆盖宽度,但其硬件架构设计是存在先天不足的,因为它是通过很少的换能器(相对于束控多波束系统而言)发射接近球面的开角极大的绳波信号,然后利用多个接收器记录回波信号的相位差来计算回波指向角,实现多点水深测量的,也就是说相干声纳获得的水深值都是经过多重相干计算的,虽然可以获得极大的覆盖宽度的水深地形数据,但非实测值,因此在海床起伏剧烈的水域,相干声纳测深系统的数据质量很容易出问题,比如换能器正下方海床异常突起等,因此,在实际测量过程中可采用“非等距”的方式布设测线,即每两条测线间距较小,保证测艇上线施测时两舷换能器声轴方向正好可以覆盖另一条测线正下方的海底,以提高数据质量。
6 Q+ B/ M( G5 H5 |/ }+ p4 R 对于很多人而言,区分拖体式相干声纳条带测深系统和侧扫声纳系统是很难的,因此闹出过不少笑话,其实只要清楚二者原理上的差异,可以很容易地区分它们。简言之,从外观上来说,侧扫声纳的换能器是拖体两侧水平安装的,就好像“H”的两道竖线,而相干声纳的换能器则是呈“V”形分布的,而且旁边会安装声速计或CTD以记录或计算换能器处的水体声速。这类产品比较典型的当数Benthos公司的C3D系统和Klein公司的3500系统,此类系统通过对算法的改进,降低了信号多解性,在目标物识别方面明显优于同类产品,但原理上没有实质性改进。
- o+ C1 `* O: h* J- k. Z/ `" w( O g (4) 浅地层剖面仪(简称浅剖) 5 C, M+ x1 ^$ H8 a5 Y+ P3 x. M+ j/ X
换能器、工控机,定位系统(GPS);作业方式为拖曳式走航测量或采用船体安装。其中的关键词为:低频、穿透、参量阵技术CHIRP技术、钻孔修正。
1 W) q+ i& e1 j# H2 _ 当我们需要获知海床以下浅部地层、灾害地质因素、埋设物等的分布情况时,需要使用一种工作频率相对较低,对海底地层有一定穿透能力的设备来实现,这就是浅地层剖面系统(图8)。这种系统的工作原理也是非常简单的,只是信号频率更低,能量更强,信号在各个声速界面上形成反射,水听器接收回波信号后即可形成声学地层图像。按信号频率从高到低排列,震源类型主要包括:压电陶瓷(晶体振动)、Boomer(金属撞击)、电火花(等离子体)等,当然这不是绝对的,比如参量阵技术,就是通过两个相对高频的信号通过相位叠加最终形成若干个不同频率的信号,其中就包含了频率极低的信号。
* Q/ m! ~( k5 }1 Y6 X1 v+ J 在波束控制方面,目前有两个方向:在海洋地质调查领域,科学家往往关注地层的产状,以及浅部的特殊地质现象,因此需要在波束角尽可能小的情况下,实现波束稳定,使其始终垂直指向海床,压制绕射,减小地层产状变化对声学图像的影响(图8);
' k/ A' R$ o) x" y' D/ q6 Q 图8 埋藏古河道图像 ! C* G8 e/ i" o
在海洋工程调查领域,浅剖为了获得具有特征的目标物回波信号,通常不会一味地减小波束角,换句话说,它发射的信号更接近于扇面波或球面波,例如“管线仪”,横跨海底管道时形成的类似于抛物线的声学图像(图9)。
' C* Q: S$ O. z; V- n 图9 海底管道声学图像
* C0 z+ K- e1 ?0 u6 y H 案例分析
3 i0 j8 m1 ^" l! ^1 j 前面简单介绍了声学探测仪器的原理和一些目前常用的设备,相信大家能够对林林总总的各类设备有一个大体的认识。但是,拥有设备是远远不够的,正如前文所说的,这些仪器的运行绝不是扔水里拖着走,再做一下潮位改正就行的。不可否认数字化技术使目前仪器设备的自动化程度、人机交互能力、勤务性等方面都有了诸多提高,但事情都需要辩证地看,“凡兴一利必生一弊”的道理我想大家都懂吧。
0 n( c& U/ ~! J/ j 就拿这些探测设备来说,高精度,高度自动化、集成化的代价就是系统越来越庞大,添加进来各种精密复杂的外置设备,这无疑增大了现场质量控制的难度,而后期处理的效果又依赖于高质量的现场数据,加之海上作业环境复杂多变,各种外部因素对仪器、人员的影响可以说五花八门,只有想不到没有见不着,所以,想要获得“看得清、看得准、解释得了”的数据并非易事。下面就给大家讲几个案例来说明一下。
" N, v5 ?( m) {/ [# g6 F. R4 e ⒈ 港口围堤土方量测量 . @% @6 K4 k" i/ D
江苏北部某港计划建设一条围堤,把水深测量工作交由XXX单位实施,该单位使用海鹰13D双频测深仪于当年8月施测,后来甲方在进行堆填的时候发现土方量比设计水深条件下多出一倍。 & u) w# M- |3 H5 F$ P% ]+ f8 T% t
原因分析:从工作简报中来看,工作人员犯了两个常识性错误。首先,水体声速有误。时值夏末,水温较高,但施测过程中工作人员仍设定声速为1500m/s,导致测得的水深偏小;其次,任务目的不明确。苏北地区存在大量黄河改道前遗留的细粒沉积物,这种条件下产生的浮泥对工程设施的影响不言而喻——因为浮泥是没有承载力的,所以对于围堤建设必须探测承重层的深度。而测量工作人员在设定仪器参数过程中将高频调为高输出(能量),使浮泥表面的反射图像灰度较大,完全遮盖了低频信号的图像,导致处理数据时无法准确读取承重层深度。在这两个错误的作用下,甲方承受了巨大的经济损失。
. v2 ?* N5 ^) I" Y) T 2. 相干声纳条带测深系统换能器振动导致探测精度降低 ( h: F0 Z' h) L8 }( s# {
某单位在使用相干声纳条带测深系统作业时,由于受船型限制,将挂接水下单元的钢管施放过长,在钢管发生涡激振动时,系统获得的数据误差增大,反演的海床形态变形严重。
6 q, O+ S. h% w @ 原因分析:由于在外流作用下钢管会受到扰动力,当这种力诱发钢管共振时,安装在管底部的换能器也会随之振动,由于相干声纳测深系统需要精确记录回声信号的相位,这种振动必然影响测量精度,具体表现为姿态传感器MRU的roll校准对船体运动的追踪出现误差,此时海底声反射信号出现短时间的左右晃动,后期成图海底地形图像出现不规则的左右两侧对应的褶皱,由于振动的自限作用,这种情况呈间断性发生。 : W! x _; e2 x( j/ \2 r
3. 辽东湾某锚地浅地层调查 ) ^) _9 M9 S9 T2 m; y
某单位承揽了位于辽东湾XX港外的锚地调查项目,具现场工作人员记录的班报来看仪器运行正常,但是在后处理过程中发现大量没有数据的空白区。
+ A) R+ n/ s+ D4 E+ a. Q 原因分析:从简报和事后现场人员口述分析,首先,仪器接口处的防水处理没有做到“一次一检”,导致换能器和工控机接线出现问题,其次由于锚地海床较平坦,现场图像差异小,在拖体入水后作业人员没有实时监控探测图像,在屏幕上看到的所谓“反射图像”其实是由于线路接触不良产生的电路噪音。由于测量人员的疏忽大意,导致整个项目面临返工的窘境。
4 E) y) o- w, B- q1 S# e 通过以上的讲述,估计大家已经能够对海洋测绘常用的声学探测设备形成一定的认识,但是希望大家记住,大多数技术方案的失败源自对技术手段的过分自信。
' E" h# M, U( E! M n: m 
3 q' x4 U7 a0 b& x/ e# \- M 本文转载自溪流的海洋人生微信公众号(ID:xi92899)
/ `: |' c+ s7 q& }" s 关联阅读:A声纳的基本工作原理、发展情况及其实际应用简介B声纳的基本工作原理、发展情况及其实际应用简介C水下综合声学定位技术简介:五种定位模式D声发射检测技术原理及其在工程中的应用现状- K% ]" \2 Q- H9 }
 fill=%23FFFFFF%3E%3Crect x=249 y=126 width=1 height=1%3E%3C/rect%3E%3C/g%3E%3C/g%3E%3C/svg%3E) ' Q! t; F3 P0 |! e4 H: c* V% u
声明:本微信转载文章出于非商业性的教育和科研目的,并不意味着赞同其观点或证实其内容的真实性。版权归原作者所有,如转载稿涉及版权等问题,请立即联系我们,我们会予以更改或删除相关文章,保证您的权利! ! L& G, J- |2 |
6 I3 t) A$ |# z( Y; g+ E$ Z
: z5 e) o4 l6 }1 I) Q9 Z, i3 |& W; K8 d5 R& l
2 w$ f! ~2 k9 z* ^7 V0 O6 u
|