收藏本站 劰载中...网站公告 | 吾爱海洋论坛交流QQ群:835383472

二氧化碳上升对光-铁-碳共限制下海洋硅藻的影响

[复制链接]

2021年11月18日,厦门大学近海海洋环境科学国家重点实验室史大林教授课题组在Limnology and Oceanography期刊上发表了题为“Effect of increased CO2 on iron-light-CO2 co-limitation of growth in a marine diatom”的研究成果。该研究探讨了二氧化碳、光强以及铁营养盐三个环境因子之间复杂的交互作用对海洋硅藻的影响,揭示了硅藻的生长与光合固碳等生理代谢过程在不同光、铁条件下对海洋酸化的差异性响应及其调控机制,为系统认识并预测全球变化下海洋硅藻的初级生产力提供了重要的科学依据。

硅藻在海洋生物泵的碳吸收与碳埋藏过程中发挥着至关重要的作用。然而,全球近40%海域中包括硅藻在内的浮游植物的生长会受到海水中铁营养盐缺乏的限制,其中在高纬度、缺铁的高营养盐低叶绿素(HNLC)海区,硅藻的生长还可能同时受到低光的限制。在全球变化大气二氧化碳水平上升背景下,一方面,海水暖化将引起表层海水混合层变浅、平均光强增加,进而可能影响海水中铁的光化学反应以及藻细胞对铁的需求等;另一方面,海水酸化可能影响海水中溶解态铁的形态和价态以及藻细胞光合作用等过程。由此可见,光强、铁生物可利用性和海水碳酸盐体系三者在未来的HNLC海区将联动变化,并可能对浮游植物的生长与固碳产生影响。

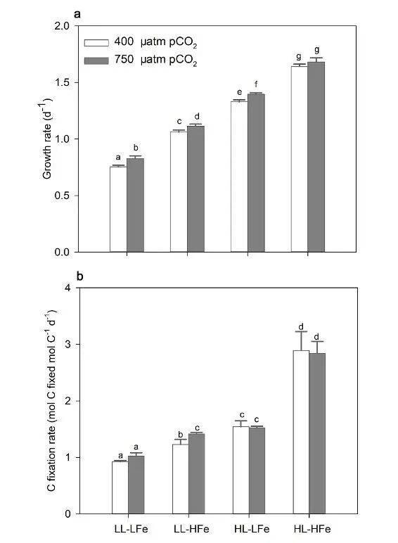
史大林教授研究团队以具有全基因组信息且在低铁环境中有极高耐受力的模式硅藻——三角褐指藻(Phaeodactylum tricornutum)为研究对象,在严格控制的痕量金属洁净实验条件下,系统探究了铁限制下硅藻的生长、光合固碳以及铁的吸收利用对光强变化和海洋酸化的响应及其机理。研究发现,光照强度的增加显著提升了硅藻的生长与固碳速率,并可在一定程度上缓解铁限制硅藻的铁限制程度;海水酸化对硅藻生长的促进效应主要在光限制或铁限制条件下呈现,且在光-铁共限制下最为显著。上述结果表明,光照强度与铁营养盐浓度可调控硅藻对海洋酸化的响应,当细胞能量受限时(即光限制、铁限制或光-铁共限制)硅藻的生长和固碳更加受益于酸化。

3a9446d81ae647464f58454f1f8266f2.jpeg

图1  P. tricornutum在不同光、铁和酸化处理条件下的生长速率(a)与固碳速率(b)

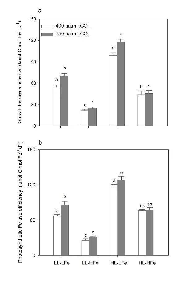
进一步对上述现象背后机制的探究表明,光照强度增加显著降低了硅藻光合作用对铁的需求,从而有助于缓解铁限制的程度。不同于光强效应,海水酸化对铁限制或光限制硅藻生长的促进效应主要归因于CO2浓缩机制下调、光呼吸减弱、氧化胁迫缓解以及铁利用效率提高,这些生理代谢过程对酸化的响应所引起的胞内铁、能量及资源的再分配有利于硅藻的生长与固碳。

e63df34864d63062bdd40c8b5fbf4e64.jpeg

图2  P. tricornutum在不同光、铁和酸化处理条件下的基于生长速率的铁利用效率(a)及基于固碳的铁利用效率(b)

史大林教授课题组博士生叶幼亭为论文第一作者,史大林教授为通讯作者,美国北卡罗来纳大学William G. Sunda教授以及课题组洪海征教授为共同作者。该研究得到了国家自然科学基金项目(41925026,41890802和41721005)的资助。

论文链接:

https://aslopubs.onlinelibrary.wiley.com/doi/10.1002/lno.11984


2 B2 p! ^% O( O. T0 G, R7 I

本文来源:厦门大学近海海洋环境科学国家重点实验室


5 F7 m% `1 v! x' A: {" N% k  F3 W5 {+ h4 E! I1 [1 Z. }
回复

举报 使用道具

相关帖子

全部回帖
暂无回帖,快来参与回复吧
懒得打字?点击右侧快捷回复 【吾爱海洋论坛发文有奖】
您需要登录后才可以回帖 登录 | 立即注册
原来可以笑
活跃在昨天 15:10
快速回复 返回顶部 返回列表