. k/ i$ R, y V3 s$ T- Q8 v R
GNSS概念理解 * c8 Z. N- i8 z9 @8 z# a
什么是GNSS ( N; {# e0 q1 b
GNSS(Global Navigation Satellite System)全球导航卫星系统,是一种无线定位技术,它利用自动定位技术接收射频信号,是能在地球表面或近地空间的任何地点,为用户提供全天候的三维坐标、速度以及时间信息(PVT(Position Velocity and Time)的空基无线电导航定位系统。
" h: X4 s& C8 p% b1 k8 Q0 Z* S GNSS系统组成部分
! Q5 g4 R5 o: F+ }9 l/ }7 {5 S GNSS系统由三个部分组成:空间卫星星座(空间段)、地面控制站(地面段)和接收机(用户段)。空间卫星星座发射出的广播信号可以被接收机(用户站)接收进行接收、处理、解算,从而提供定位服务,而空间卫星通过接收地面控制站发出的信号进行控制卫星运行以及天地通信的作用。 : u; N6 E; I( I/ h) k2 J
GNSS卫星信号结构 , `& f0 i* O1 K( }1 o/ _7 a
GNSS卫星信号可简单理解为由三部分构成:导航电文、测距码和载波。 + t2 b; F5 D" H* A' s' t8 Y
导航电文:又称为数据码(D码),由导航卫星播发给用户的描述导航卫星运行状态参数的电文,包括星历、历书、卫星钟差、卫星健康状态和电离层延时模型等参数。 5 z# H& }6 S4 ~
测距码:用以测定从卫星至接收机间的距离的一种二进制编码序列,是一种伪随机噪声码。(Pseudo Random Noise, PRN)。既可以区分不同的卫星信号,也可以用其进行伪距的测量。
' ?- Y6 C& ~3 W# `# b3 M3 ` 载波:载波是一个物理概念,是一个特定频率的无线电波,单位Hz,是一种在频率、幅度或相位方面被调制以传输语言、音频、图象或其它信号的电磁波。导航电文和测距码属于低频信号,而卫星轨道又较高,为了保证低频信号在传播过程可以顺利穿过电离层,不被反射或接收,需要将低频信号调制到高频震荡波上。而这个可 运 载 调 制 信 号 的 高 频 震 荡 被 称 为 载 波 。
! h3 S* ` M8 V6 i! l- Y GNSS的主要类别
0 f1 }+ R3 V& b6 p; } GNSS是泛指所有的卫星导航系统,覆盖范围包括全球的、区域的和增强的,分别是全球导航系统,区域导航系统,增强系统。
9 {5 P$ d# u' l( u! f& o* T9 {6 x z 全球导航系统:卫星发射全球覆盖,能够在全球范围内实现定位,包括美国的GPS、俄罗斯的Glonass、欧洲的Galileo、中国的北斗(BDS)系统,即四大全球导航系统。
* a# V/ ~0 O" S: Q( B 区域导航系统:是指覆盖区域较小,一般为国家或地区范围内的卫星导航系统。日本的QZSS,目前共有四颗卫星,与GPS L1、L2、L5同频;印度的IRNSS系统,在轨数量8颗,与GPS L5同频。 % n5 X! b% A9 k2 v
增强系统:满足一些场景的定位以及可靠性需求,通过提供全局误差校正以提高GNSS 应用的准确性、完整度、连续性与可用性,播放更精确更丰富的信息来提升我们对定位的各种需求,这些系统通常被认为与传统的 GNSS星座分开。
& V1 ^/ l( M' q' m3 ^1 @2 X$ | 四大全球导航系统
. A# l* C( K3 M2 z$ X 北斗BDS:
5 Y7 l' ]* i3 m, V W0 T3 D- Y9 ? $ E, ]3 j. c w* `& O, X
中国自主建设运行的全球卫星导航系统,能为全球用户提供全天候、全天时、高精度的定位、导航和授时、地基增强、短报文通信等多种服务能力。
( o6 M2 d8 ^) K% u
% ~+ W( \9 y6 T GPS:是美国开发的一种利用环绕地球的24颗卫星,准确计算全球任意地点位置的庞大卫星网络定位系统。该系统由美国国防部研制和维护,可满足位于全球任何地方或近地空间的军事用户连续精确地确定三维位置、三维运动和时间的需要 。 7 p* w( U$ h7 ]5 }: m1 T
Galileo:伽利略卫星导航系统,它不仅 8 }, f2 b+ @4 c! e) [8 ^
能使人们的生活更加方便,还将为欧盟的工业和商业带来可观的经济效益。 , n! D+ j# \! f$ R
GLONASS:该系统主要服务内容包括确定陆地、海上及空中目标的坐标及运动速度信息等。格洛纳斯卫星导航系统投入运营,打破了俄罗斯对美国GPS系统的依赖,对于俄罗斯航天和工业的发展有着重要的战略意义。 
* d1 b9 `3 H) `# u1 v GNSS定位原理
- ^8 L3 V" \2 X/ A- ]0 {! { GNSS定位相关的数学原理
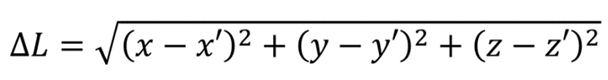
3 o# ^. b9 \# Z! ?6 @ 地球表面的任何一个位置,都有它的三维坐标,也就是经度、纬度和高程。它头顶上的GNSS卫星,也有自己的三维坐标。那么,我们把整个空间看成一个坐标系,可以画一个立方体。立方体的两个对角,分别是用户和卫星,根据中学立体几何的知识,我们可以知道,卫星和用户之间的距离△L(这个距离也被称为“伪距”),是: 
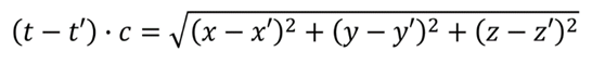
/ _! C* e9 @' y* c' \, Q 卫星的坐标是(x’,y’,z’),已知。用户的坐标是(x,y,z),未知。卫星可以给用户终端发信号,信号的传输速度基本上几乎等同于光速c。而卫星上面有精度极高的原子钟,所以知道自己的时间是t。假设用户终端的时间是t’,那么,卫星和用户之间的距离△L,又可以通过下面这个公式算出:
* V. P- t4 u, Q. _4 P: J& Q3 Y0 N 两个公式一合并,就变成了: 4 b4 k1 F g' O: P V3 t- ` P
总结:一个公式里有4个未知数(x,y,z,t),需要4颗卫星的坐标值组成4个四元方程求解,这就是为什么用户终端想要解算出自己的准确位置,至少需要4颗卫星。
- I& H/ L3 Z+ t2 t K0 |: F GNSS的定位原理
3 q4 ~1 M5 E1 t2 T 结合前述的数学原理,我们知道:
3 ]5 K* ?3 x! w; P5 u' w% I6 g GNSS 卫星定位,实际上就是将分布在天空的高轨卫星当做已知点,根据 GNSS 系统的组成原理可知,每颗 GNSS 卫星瞬间位置都可以计算出来,并且通过卫星信号发送到地面 GNSS 接收机上。当地面某个 GNSS 接收机同时接收到 4 颗以上的卫星信号时,即可以以后方交会的方式推算出地面接收机的空间坐标位置。
+ ]/ l/ U, X0 A k; f+ l: S 绝对定位(单点定位)就是根据一台接收机的观测数据来确定接收机位置的方式,它只能采用伪距观测,可用于车船等的概略导航定位。 . z& q; _5 U8 Y: m
相对定位(差分定位)是根据两台以上接收机的观测数据来确定观测点之间的相对位置的方法,它既可采用伪距观测也可采用相位观测,大地测量或工程测量均采用相位观测值进行相对定位,相对定位测量的是多台GNSS 接收机之间的基线向量。 . W9 K2 Z# p. O9 A/ T1 k' `
GNSS误差及消除技术 1 }- Q8 I1 V5 {- S6 l- Q. h
GNSS误差 ! M" n1 W* T' W2 t
影响GNSS定位精度的主要原因,是误差。误差既来自系统的内部,也来自外部。例如穿透电离层和对流层时产生的误差,还有卫星高速移动产生的多普勒效应引起的误差,以及多径效应误差、通道误差、卫星钟误差、星历(卫星位置和速度)误差、内部噪声误差等等。我们可以从三个方面来考虑:发射端、传播端、接收端。 $ x+ u2 S& K* Q. M' T7 R
发射端: , A+ H2 E0 M& o( B
卫星钟差:卫星钟的精确度会受到多种因素的影响,例如温度变化、电子器件的老化等,这些因素可能导致卫星钟与地面时钟之间存在微小的差异,进而引入定位误差。 : h. l6 Q+ |6 v- \8 r# i! `. c
卫星轨道误差: & g) i! W2 s. Q4 [; T4 d2 I( C
卫星在轨道上运动时,可能会受到地球的引力、月球的引力、太阳的引力以及其他天体的引力扰动。这些扰动会导致卫星轨道的微小变化,从而影响定位精度。 星历误差:卫星的轨道预报和星历数据可能存在误差,这会对定位精度产生影响。
2 h1 d. a3 ]) t3 r) ?2 o! Y2 U4 H
传播端: 6 Q) ^! {( R8 o: }" ^( X% J! J" H5 \
电离层延迟:电离层中含有大量的自由电子,这些电子对通过其传播的无线电信号会产生影响。当GNSS信号穿过电离层时,电离层中的电子会导致信号的传播速度发生变化,从而引起定位误差。电离层误差通常在天空观测(如GPS)中更为显著,尤其在日落和日出时更为明显。为了减小电离层误差的影响,GNSS系统会广播电离层延迟模型,并通过双频接收器利用不同频率的信号来进行电离层延迟的估计和校正。
! f- s- s5 w2 I+ X* z# y 对流层延迟:对流层是地球大气层的低层,位于地面上方约10公里至50公里的高度范围内。对流层中存在气象变化、温度梯度和湿度变化等现象,这些因素会对GNSS信号的传播产生影响。对流层误差主要表现为信号传播速度的变化和折射效应,这会引起定位误差。对流层误差通常在地面观测(如基站观测)中更为显著,尤其在较长的测量路径上更容易受到影响。
( l9 g- w7 w/ g% u 接收端: . |; B6 i; X( R4 J+ [1 }
终端钟差:接收器本身的硬件设计和性能也可能引入定位误差,例如时钟不准确、信号采样率低等。
3 W: e" T6 W; Q2 p3 ~* N& D5 O6 K 多路径:当卫星信号在传播过程中经过建筑物、树木等物体反射或折射,产生额外的传播路径,导致接收器接收到的信号存在多个到达路径,引入定位误差。 7 O: C s2 o0 u) P1 L& M
天线相位中心误差:由于天线设计或安装不精确,天线接收到的信号可能与天线的几何中心不完全对齐,导致定位误差。
0 B( X t' x+ ?; j6 p) W- q Q' W. X GNSS误差消除技术 . v8 a& T# [: t0 k5 {0 [2 `
不同GNSS误差消除技术原理就是通过不同的方法进行补偿或者消除各种误差的产生。误差消除水平的高低,直接决定了系统的准确性和可靠性。 7 V8 h' G1 {. E; x8 [
GNSS误差消除技术:A-GNSS技术 9 N4 b: b n- n! Z2 `1 a
网络增强卫星定位系统,是利用普通的移动通信网络,提供导航卫星的历书、星历、频率范围、标准时间和近似位置等辅助信息,传送增强改正数据,辅助用户快速获取用户位置所在的卫星位置,加强或者加快卫星导航信号的搜索跟踪性能与速度,可以明显缩短接收机首次定位时间,提高定位精度,加快伪距计算,同时可以在受到一定遮挡的情况下,或者半开阔区域,也能实现卫星导航定位。 - I+ a, _( Y( u( u1 s) T
GNSS误差消除技术:RTK技术 X2 D$ _# A& Q
RTK (Real-time kinematic)全称实时动态载波相位差分定位技术,是实时处理两个测量站载波相位观测量的差分方法,能够在野外实时得到厘米级定位精度的测量及定位方法。 . y! o0 i5 P* m/ m
RTK 作业原理:
. X+ w2 |4 N9 z- l0 b" Q: r 通过基准站接收机架设在已知或未知坐标的参考点上,连续接受所有可视GNSS 卫星信号。 ! P2 J5 u, k# {$ _3 B8 l% l) c
基准站(包括固定基站、移动基站)接收、观测卫星导航信号并进行差分处理,生成差分数据。通过电台或运营商的数据网络以无线传送的形式对差分的数据进行传输。
; A9 `5 m( a& ^0 \% X% W9 d 移动站在接收来自基准站的数据时,同步观测采集GNSS卫星载波相位数据,通过系统内差分处理求解载波相位整周模糊度,根据移动站和基准站的相关性得出移动站的平面坐标 x、y 和高程 h。 . E6 n( H- B p" B7 ^
传统RTK技术:
! v0 ]% n9 }1 z* T( h 通常来说,传统RTK工作模式就是电台工作模式,没有网络信号和CORS覆盖范围的地方就选择传统(无线电台)RTK工作模式。
( h' t) K7 q" K5 i; E, v( K RTK所使用的差分就是靠无线电台收发信号来进行的。 / l0 I: \- u1 ?8 q7 B& Z
基准站将接收到的数据与设置基准站的数据进行计算,得出每时每刻的差分数据,并将这些数据通过电台发送出去。流动站也能通过电台接收基准站发送的差分数据,并进行计算,最终得出我们所需要的坐标数据。
/ W/ @3 `7 n; y# ^2 C 在常规RTK作业模式下,一个临时建立的基准站对所有可见的GPS卫星进行连续观测,并通过数据通讯系统将其观测值和测站坐标信息直接传送给移动站,移动站采集GPS观测数据的同时,通过数据通讯系统接收来自基准站的信息,并组成差分观测值进行实时处理,得到厘米级定位结果。 / L: R N# w; ^: j
网络RTK技术: : @' D9 P! F% i
通常来说,有网络信号和CORS覆盖范围的地方就选择网络RTK工作模式(CORS),没有网络信号和CORS覆盖范围的地方就选择传统(电台)RTK工作模式。
a- X1 h! b+ m1 d, x 在网络RTK中,有多个基准站,用户不需要建立自己的基准站,用户与基准站的距离可以扩展到上百公里,网络RTK减少了误差源,尤其是与距离相关的误差。 $ Z! `9 f0 j9 V& Z1 s* F3 R( k
一般来说,网络RTK可以分成3个基础部分。分别是基准站数据采集;数据处理中心进行数据处理得到误差改正信息;播发改正信息。
( l5 [- w* T2 w7 |/ l2 k 首先,多个基准站同时采集观测数据并将数据传送到数据处理中心,数据处理中心有1台主控电脑能够通过网络控制所有的基准站。所有从基准站传来的数据先经过粗差剔除,然后主控电脑对这些数据进行联网解算。最后播发改正信息给用户。
. F1 W2 _( ?. v% J 网络RTK至少要有3个基准站才能计算出改正信息。改正信息的可靠性和精度会随基准站数目的增加而得到改善。当存在足够多的基准站时,如果某个基准站出现故障,系统仍然可以正常运行并且提供可靠的改正信息。
% D8 ] Z) Z$ T. T" k$ E5 ^! F2 } GNSS误差消除技术:PPP技术 , p L( Z* A I
精密单点定位技术(PPP - Precise Point Positioning)指的是利用单台双频地球导航卫星系统GNSS接收机,基于载波相位观测值和国际GNSS服务组织IGS ( International GNSS )Service提供的卫星轨道和钟差产品进行单点定位的技术。
9 {+ G3 h5 ^+ r4 w5 q8 s" B p PPP技术思路: ( R1 e! F' t' G5 I
在卫星导航定位中,主要的误差来源于三类,即轨道误差、卫星钟差和电离层延时。如果采用双频接收机,可以利用LC相位组合,消除电离层延时的影响。如果选择地心地固系表示卫星轨道,计算的参考框架同为地心地固系,可以消去观测方程中的地球自转参数。于是,只要给定卫星的轨道和精密钟差,采用精密的观测模型,就能像伪距一样,单站计算出接收机的精确位置、钟差、模糊度以及对流层延时参数。
% \, O# P. t7 W0 |+ w3 A& W. A 即通过利用IGS发布的卫星轨道和钟差产品或用IGS跟踪站数据解算得到卫星轨道和钟差参数,采用无电离层伪距和相位观测值消去相关性误差的影响;而地球自转、卫星和接收机相位中心偏差、海洋负荷等采用精确的模型改正,对天顶流层延迟误差、多路径效应等未模型化的误差作为未知参数与测站坐标参数一同解算,从而获得ITRF框架(国际地球参考框架)下点位的高精度的三维坐标。 i- |" ~2 a* e" A
GNSS误差消除技术:低轨增强技术 , e7 j8 I! I z# z
低轨卫星导航增强技术可以实现高中低轨卫星优势互补,为全球用户提供精度更高,可靠性更强的位置服务,同时也符合卫星导航定位系统的未来发展趋势。低轨卫星既可以增强卫星导航信号,作为GNSS的有效提升与补充;也可以通过通信系统和导航系统融合,播发独立测距信号,形成备份的定位导航能力。
) G, B9 Y2 Q: P3 `+ ~! p 低轨星座和信号的优势: # W* B2 U$ U6 e" V9 F2 }
1)低轨卫星轨道低、重量小,卫星造价和发射成本较低 6 I/ |1 k3 Q5 r8 a) B
2)落地信号强度更高,可改善遮挡遮蔽条件下定位效果,提升可用性
$ o! h3 n: a6 }( y4 v4 c' j 3) 低轨卫星运行速度快,加快高精度定位收敛时间,用户体验更优
8 u g+ l' Z" G! K 4)地柜卫星星座具有更高的信息速率,能播发更多的精密改正信息
N) R6 j0 f, C. k 5)用户终端小型化、集成化、低功耗,易于用户使用  fill=%23FFFFFF%3E%3Crect x=249 y=126 width=1 height=1%3E%3C/rect%3E%3C/g%3E%3C/g%3E%3C/svg%3E)
8 ] S. @/ G" M# S: w" d GNSS的应用场景
/ f5 L' n- T! w GNSS在测量测绘中的应用
: v8 |4 R& F) a 由于GNSS技术具有全天候、全时域、定位精度高、测量时间短、测站之间无须通视和可同时测定点位的三维坐标等优点。近年来,我国GNSS对地观测技术发展迅速,目前主要应用于大地测量、资源勘查、地壳运动、地籍测量及工程测量、变形监测等方面,并取得了良好的效果。
0 V3 f% |% e/ e/ e 1. 地理数据采集
5 V. n6 ?4 G; U 人类80%的活动与空间信息有关,地理数据采集是GNSS最基本的专业应用,用来确认航点、航线和航迹。国土、矿产和环境调查等需要确定采样的点位信息,铁路、公路、电力、石油、水利等需要确定管线位置信息,房地产、资产和设备巡检需要面积和航迹位置信息。 & l; t( g+ g6 G9 C8 ?* w
2.高精度测量
s P9 t' z2 t# c 与传统的测量手段相比,卫星导航应用有巨大的优势:测量精度高;操作简便,仪器体积小,便于携带;全天候操作;观测点之间无需通视。
* i, `" E# G& o/ i7 J5 \ 3.变形监测 ' X0 z: t1 J1 t b8 Q2 U' |
变形监测与其他测量项目的最大不同之处就在于重复观测,GNSS技术是一种可实现远程自动化测量的高精度的变形监测技术,根据重复观测成果的差别分析出被监测对象的变形信息进而预测预报的。
: c1 J7 H: I/ K4 ] @/ ` GNSS多样化的应用场景 / F8 ^; R7 T: X2 C" Q, A8 o
GNSS在航空航天、海洋渔业、交通运输以及地震监测、农业等方面也有广泛的应用。
& x% Q1 `+ f J. f0 w 1.航空航天 : D5 s' F! z1 V9 {5 t( y
在航空航天领域,GNSS可为飞机、卫星等提供精确的定位和导航服务,帮助飞行员和航天员准确地掌握飞行状态和位置信息,确保飞行安全。 2 Y/ |+ w* A8 b- ?9 M/ j
2. 海洋渔业 6 T- E# a8 O6 |9 _) R
在海洋渔业中,GNSS可以帮助渔民准确地定位自己的位置,找到鱼群的位置,提高渔业生产效率。此外,GNSS还可以为海洋环境监测提供数据支持,帮助科学家研究海洋生态系统。 2 P/ f, j0 F; L+ x6 u' ]$ F- d
3. 交通运输 0 [2 N' r4 ~: ]% H% e$ c# h0 n
在交通运输领域,GNSS可以为汽车、火车、船舶等提供定位和导航服务,帮助司机和船长准确地掌握车辆或船只的位置和行驶方向,提高交通运输的安全性和效率。
% ?8 q# n+ \( R! k6 J5 C9 u. e4 L1 d 4. 地震监测
( H0 C( Y7 `% x" R2 z/ F8 X, Y& }3 a 在地震监测领域,GNSS可以帮助科学家准确地测量地震的震级和震源位置,提供重要的地震预警信息,帮助人们及时采取应对措施,减少地震灾害的损失。
- @. D, ]' r7 ] 5. 农业
+ j, _8 V# d% M( o$ A* k8 ` 在农业领域,GNSS可以通过无人机喷洒农药施肥等,通过提供精确的定位和导航服务,帮助他们进行土地测量、作物种植、施肥等工作,提高农业生产效率和质量。 ( k" D( S, a$ d' N# H
GNSS在自动驾驶中的应用
5 d T9 c0 K% C ~8 c GNSS在汽车领域具有广泛的应用,在自动驾驶领域,借助GNSS定位技术,汽车可以定位获取到高精度的位置,从而正确导航并有效地做出驾驶决策。
8 S% G' Z: u. m1 }% z. R7 q! Z 自动驾驶可以抽象为三大问题:我在哪儿,我要去哪儿,我要走哪条路去。目前,GNSS定位配合高精度地图,是各类自动驾驶的发展方向,涉及GNSS卫星、高精度地图、全疆域通讯网络覆盖、GNSS基站、移动端GNSS接收机。其中,高精地图相当于人类大脑记忆中的路线,也就是对大脑中物理空间的记忆,GNSS定位相当于人类对空间位置和时空判断的感知,通过二者结合可以得知去哪里、怎么去。
( D# |* a3 s1 c* ?' s8 h 与GNSS相通的具有导航定位服务的技术还有哪些呢?GNSS在各个领域之间分别是如何支撑各场景应用的?各大厂商在GNSS软硬件支撑方面的应用都有哪些呢,都各有哪些优劣势?GNSS为什么是当下自动驾驶领域的宠儿,下一篇我们敬请期待!!! 0 W9 U- k5 d) j+ E8 S2 r4 r* W' A
来源:灵歌儿的微idea
, p; K5 U7 I# O( d. J 关注“测绘学术资讯” ,联系微信:chxszx2018 ; X: d$ y" f! o0 U7 d
0 m. a5 b, }% y! `% R+ E6 b
* M- G3 m/ `2 ]2 G* W+ D
* z' ]) Y- h" _2 L
# t4 U* S4 w. x4 Y1 C3 w& E2 f |