|
8 v P0 r% ?; h% y2 d4 _& V$ r
点击蓝色字关注我们! # M$ T% q7 i. Z @
多波束测深系统作为海洋测绘的核心设备,其测量精度一直是用户最关心的问题。为此,国内外制定了各类从测量角度出发的规范和技术要求,例如,我国的《海道测量规范》、《海洋多波束水深测量规程 》、《多波束测深系统测量技术要求 》以及国际上应用最广的《国际海道测量规范IHO S-44 第五版》。然而,专门针对多波束测深仪仪器本身的标准和相关检定检定规程还是空白。
8 A. @. b$ p: N4 e. ` 鉴于此,2017年,国家水运工程检测设备计量站与海卓同创等多家单位联合制定的《多波束测深仪 浅水 JJG(交通)139-2017》给出了权威的多波束测深精度的检定规范与流程,并设计了专用的计量校准系统。正如业内专家欧阳永忠总工的专业点评:国家计量总站走出了海洋测绘仪器专业检定的第一步! ( G) Z; d% u6 e* I P c
2019年5月,海卓MS400多波束测深系统有幸成为第一批按此规程进行全面检定的多波束型号。为了让大家进一步了解检定过程,小卓经计量总站同意,转载检定过程供各位了解参考。 01 检定环境 1 g0 Y6 b3 N' w3 J4 l+ W [
国家水运工程检测设备计量站于天津新港船闸建成多波束测深仪校准装置,采用经上级计量检定机构溯源的激光测距仪和声速剖面仪等主标准器,基于大比尺原型深水港池(180m*25m*10m)和多维运行控制装置,通过水下横向测距代替垂向测深的方式,可对多波束声呐测深、条带宽度等技术指标的计量测试,测深标准不确定度优于5cm+0.2%D。 02 检定流程及标准
7 |; G* e! Z; j/ ^% t4 p9 b 在长180 m,宽25 m,深10 m的天津新港船闸内,垂直安装MS400多波束换能器,分别从20米至160米范围内选取多个距离范围进行距离探测,采用全站仪直接照准多波束声呐换能器基阵面和水池反射壁的测量方式,测量值作为多波束声呐校准中的参考标准值,构成了一条不间断的校准链,保证测量结果的准确性及可溯源的校准结果。 & T/ C8 L: Y: q) U1 Z7 Q. d

& G/ @5 t/ j. w  3 {2 @) r4 f* x) Z; I5 T
多波束安装与测试现场
& x, N$ S) r7 T: Z 在删除野值的反射面测距数据中,以1米为单元测段进行数据平均,并分别与全站仪测量的距离进行比较。比较限值参照《JJG-139-2017 多波束测深仪 浅水检定规程》里的相关规定进行精度评判,具体参照标准为:
7 K0 m( _% L5 x- ~* ^' D l斜距示值误差 ' G' s: l* I# H! H( D1 j/ o, a9 m
斜距最大允许误差按照下式计算 3 J9 m# D+ b3 `

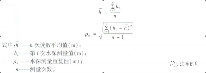
" s& b- j, V# j) d4 D0 d l重复性 4 Z9 w1 z/ R3 V% H9 X
斜距的重复性按照下面公式计算,规程规定斜距的重复性应不大于其最大允许误差的0.3倍。
" X. N; G }8 B4 z; Y' M# u9 p: H  03 检定数据分析
. ~# X" K; Z. g3 i+ D! x' a* W3 ] 按照上述流程,对MS400进行了9个深度的测深精度检定。声纳的水平偏移如下: * I3 ]0 Z Y: U5 k( q" B8 j
(1)在20m/30.7m/40.8m/50.7m/60.6m距离时,基本上左侧偏移在3米左右,右侧偏移在16米左右;
% N8 Y! \9 {! R1 u. R" F2 R2 o (2)在119.7m/136m/145.8m/158m距离时,基本上左侧偏移在19米左右,右侧偏移不明显,在0米左右。
& W$ r: t* Y( u0 D 下图给出了四个深度点的多波束声纳水体图像。 # K1 |: e/ G4 o. K2 m' X/ E2 n2 p" n0 V

3 u, `% v* g/ P$ W' A" P! a 
" X5 h' l" B' ]; m 参考水平偏移,我们在处理数据时,短距离时按照左侧偏移3米,右侧偏移16米对数据进行筛选,在远距离时按照左侧偏移19米,右侧偏移0米对数据进行筛选。在进行数据统计分析时,统一按照垂直距离代替斜距进行数据统计和分析。
' f4 h/ w- X! p! r# q8 ~% x 下面是9个深度检定点数据统计结果。 2 l2 c- n* z |0 F5 V/ i# D

# o! k7 J2 u) C! A6 B R" V7 @9 s 
* Z' ^( H& ?8 D1 N v 
K/ X7 H2 Y6 |) [& j( p0 Z  2 n$ K8 u' k% n9 w$ E5 x9 q
 ( [* P: H2 {: [5 V
9个深度检定点的中央波束测试结果如下:
. H9 E) B# o- P$ }$ |' L. c  04 结论
+ [; K% M) j5 S# \ 此次鉴定结果,国家水运工程检测设备计量站给出如下结论:
! i5 h* [0 |. Z5 `1 \! ~ (1)MS400多波束测深系统的声学测距精度符合JJG-139-2017 《多波束测深仪浅水》检定规程要求。
( W7 \, O0 O" ]6 }; w7 l (2)序号1~5测点为多波束换能器正对水池西侧反射壁的测试结果,序号6~9测点为多波束换能器正对水池东侧反射壁的测试结果。分析发现,示值误差均为正,推断示值误差中存在可校正的固定偏差,多波束测深仪校准装置测量不确定度是引起固定偏差的主要原因,该多波束测深仪设备实际测量精度应优于测试结果。 / `6 z$ I6 I" n( P' w7 T
多波束的检定过程还是比较繁琐的,小卓转述了精度检定的基本流程和结果的分析,本次检定主要的是对海卓MS400多波束测深系统中央波束区绝对测深精度的检定。以检定后的中央波束区测量结果为基准,再结合IHO等测量规范即可对多波束测深系统的整体测深精度进行全面评估。 " f* C, F; j) J$ E9 i, @5 g% V1 ]
关于如何参考IHO规范进行多波束的精度验证,可参见前述文章。 & X) p. z8 w7 M8 {; z2 _
文章链接:如何参考IHO标准检验一套多波束系统的测深精度?
1 s- y8 {2 ^7 y& K3 y2 j 敬请垂询,欢迎各类合作 - a' Q7 B1 k3 {3 l
赵经理:13911689871
, K- g! l/ h0 m' V6 y: w0 T8 n& [ 金经理:15601218721
$ ~$ ~" U2 F" v& I- _) B/ H  1 T9 _( r5 b" @# V+ h7 q4 Q
H Z1 f- U( o6 s) }, f$ ^; T7 V1 i, ^$ T* J, a
* m6 u3 {1 b& P- y2 V4 [0 ]
6 b4 u" O0 o1 W |