收藏本站 劰载中...网站公告 | 吾爱海洋论坛交流QQ群:835383472

[数据处理] WRF模式后处理总结

[复制链接]
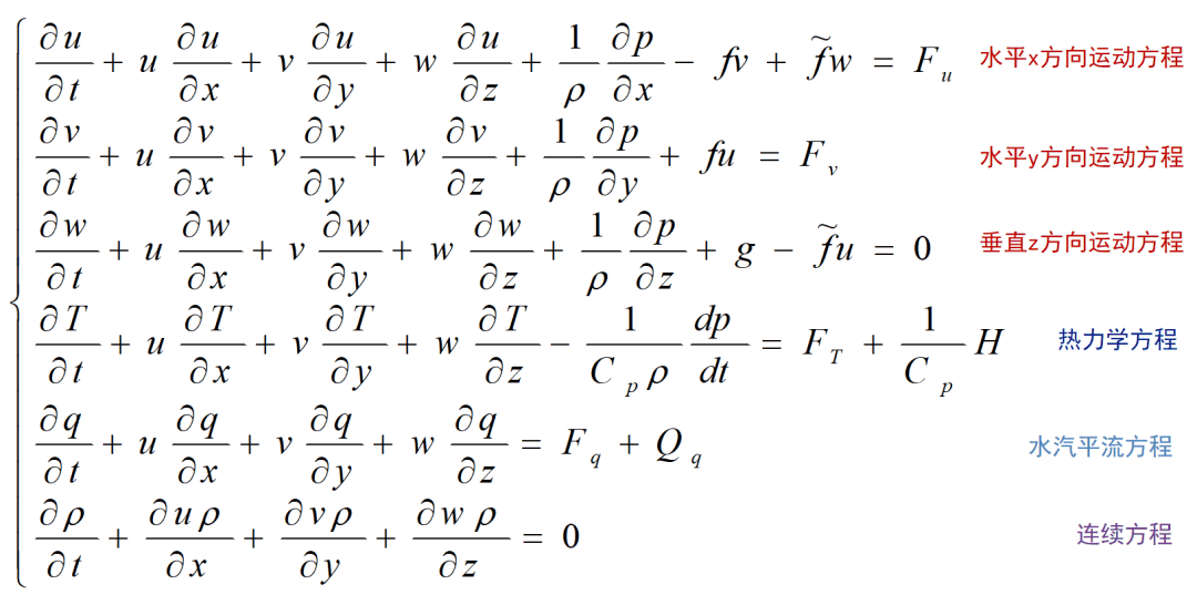
WRF模式是目前大气研究和业务预报应用最广泛的中尺度区域模式,适用于从数十米到数千公里的各种气象应用。应用模式模拟出结果,只是第一步,后续更重要的是将其加工成各种各样的产品,便于用户使用,则需要我们掌握模式后处理的技能。
) u! H5 {4 G. m: ?( E0 C$ H6 z一 模式后处理1 @3 V& K/ C% B" J' L( O% K
模式后处理常涉及到以下几点:

( v; L1 ]1 @7 q6 {/ I! Y7 b$ v1 M2 B* c+ L: c
(1)水平网格WRF 模式使用 Arakawa C 网格,一个 m×n 的矩阵中,共有 :
  • M中心质量坐标:m×n
  • U跳点坐标:(m+1)×n
  • V跳点坐标:m×(n+1)- w* d. [; Z! \! ^) x1 F# ?; @
    " }1 V0 I: j4 S- M3 m( D/ d
809d191a0f8cf0620b1fe30d17adc0d4.png
) j  h6 Q, [: g+ i2 j% D0 s
    ; u, S: u7 u) X6 ?2 d
    $ T' B8 n) [( ~( ^- x

    ! p: A  G/ F3 u" v) N: m) p) Y' t
    . r# c( X2 Z" Y: l  L  j* mwrfout文件维度信息
C网格具有比较好的频散性和守恒性,高分辨率下优势更明显。但是变量在不同位置,给后处理带来了一些不便,一般使用时,将U,V位置的变量平均到M点进行使用

    5 {2 K- B, _5 a% e6 \7 t0 X, S8 E& _* e/ d% W# Y: Q5 `8 b) u
    : i$ b) b8 U% Q3 h  W2 u1 U
      x. Q" F$ @% N: R3 q- Z+ M+ `
    b895c6ae34a8a90d6a06640da433ed52.png

    * A4 I' Y* X8 o9 q/ i) o, r, r& G" b7 M6 a$ S

    * T, O1 w' O8 ^3 E4 o  u* v+ zC网格示意图
         
% W6 B/ x* d( g: P# K5 E
0 D3 Z2 P0 C4 l( \" G
9b900f171f467830750088dd93e3e5e9.png
9ac9d35e45e366207ec8f67505557237.png
6cd94da9e7c45b8240bb6d45772f738d.png
回复

举报 使用道具

相关帖子

全部回帖
暂无回帖,快来参与回复吧
懒得打字?点击右侧快捷回复 【吾爱海洋论坛发文有奖】
您需要登录后才可以回帖 登录 | 立即注册
文星雨
活跃在2026-1-27
快速回复 返回顶部 返回列表