收藏本站 劰载中...网站公告 | 吾爱海洋论坛交流QQ群:835383472

多无人艇集群协同控制研究进展与未来趋势

[复制链接]
21世纪是海洋的世纪,海洋蕴藏着丰富的生物资源、油气资源和矿物资源,是人类生存和可持续发展的战略空间和资源要地。世界各国高度重视自由进入海洋空间、维护海洋空间权益、增强海洋空间控制等技术,尤其是大力发展无人航行器,包括无人艇(USV)和自主式水下机器人(AUV),可用于海洋资源的开发和海洋权益的争夺。
8c09d98a90978f3b08fc71c0c7393678.png
; ?6 n7 d0 t5 p, c$ Q" j" h/ l8 `

图片来自中国国防报0 W* `0 T  {. b9 n$ \

无人艇作为一种以遥控或自主方式航行的小型化、智能化、多用途无人海洋运载平台,是现代多种高技术集成的产物,是一个国家海洋科技实力的重要体现。无人艇具有全天候执行任务的能力,尤其是可以在恶劣的海洋环境中代替人类执行危险、耗时且费力的作业任务,在军事和民事领域都具有广泛的应用前景。近年来,美、英、以、法、日等海洋强国都大力推进无人艇研制工作,在单无人艇方面取得了丰硕的研究成果。然而,由于海洋环境日益复杂、作业任务日益多样、单艇作业能力极其受限,无人艇集群化作业成为未来海洋作业的重要发展趋势之一,也是网络化、信息化、智能化发展的必然要求。
多无人艇协同作业不仅可以显著地减轻操作人员的负担,而且使得海洋作业变得更加持续、更具规模和更加智能,完成单一无人艇不能高效完成或无法完成的复杂任务。在军事领域,无人艇集群具有重要的应用价值,能够完成协同态势感知、编队护航、“蜂群”跟踪、集群对抗等多种作战任务。在民用领域,无人艇集群能够极大地延伸海洋作业范围,相关应用包括海洋环境监测、海洋移动传感网监测、协同资源探测、协同灾难搜救等。
无人艇集群控制研究涉及舰船科学、制导与控制、人工智能、通信科学、计算机科学、仿生学等众多学科和技术领域,综合多学科理论和技术对无人艇集群协同控制问题进行研究,为无人艇海洋作业提供新理论、新方法和新技术,既体现智能船舶的发展趋势,又满足国家海洋战略的发展需求,具有重要的科学意义和应用价值。
目前,国内外在无人艇集群研究方面已经取得了显著的研究进展。在国外,美国海军于2014年在弗吉尼亚州詹姆斯河开展了无人艇“蜂群”作战演示,13艘无人艇以集群模式对可疑船只进行拦截和包围,完成了半自主协同护航任务。2016年,美国海军再次开展无人艇集群试验,实现了4艘无人艇的自主监测、识别、跟踪和巡逻等任务。同年,英国海军在苏格兰西海岸开展“无人战士”大规模无人系统部署计划演习,完成了空中、水面和水下三维立体协同作战测试,实现了区域探测和情报搜集等任务。在国内,云洲智能公司实现了81艘海上无人艇协同表演。
哈尔滨工程大学研制了“XL”号和“海豚”系列等无人艇样机,在海上完成了7艘无人艇的协同编队试验。华中科技大学研发了HUSTER全自主无人艇,完成了5艘无人艇的十字和环形编队队形湖上试验。大连海事大学研制了一套多无人艇集群协同控制系统,开展了协同路径跟踪、协同目标跟踪、协同目标包围等协同控制试验,实现了7艘无人艇的“一字”、“人字”、“环形”等多种动态编队队形。2019年,上海大学《复杂海况无人艇集群控制理论与应用》项目获得基金委人工智能重大研究专项资助,将无人艇集群控制研究推向了新的高度。由此可见,国内外对无人艇集群控制技术的研究方兴未艾,迫切需要进一步开展前瞻性理论和技术探索。
本文将首先从无人艇运动数学模型出发,分析多无人艇集群协同控制所面临的挑战。接着,根据多无人艇的典型运动控制场景,综述多无人艇集群协同控制的研究成果,包括基于轨迹导引的协同控制(TRCC)、基于路径导引的协同控制(PACC)、基于目标导引的协同控制(TACC)。最后,对多无人艇集群协同控制的未来趋势和研究方向进行总结与展望。
一、问题描述
⒈无人艇运动数学模型
船舶涉及纵荡、横荡、垂荡、横摇、纵摇和艏摇6个自由度的运动。对于无人艇而言,通常忽略垂荡、横摇和纵摇3个自由度上的运动。如图1所示,一般在2个坐标系下对无人艇的运动进行描述,即XE-YE地球坐标系和XB-YB船体坐标系。
图中,ψi为艏摇角;νi=[ui,vi,ri]T为第i艘无人艇的线速度和角速度向量,单位为[m/s,m/s,rad/s]T,ui其中和vi分别为XB-YB坐标系下的纵荡速度和横荡速度,ri为艏摇角速度;βi为侧滑角。
95ab768ef97b5e441a151313ffa2bd48.png
4 i8 z- T9 ?9 l/ a4 t1 \

图1 地球坐标系和艇体坐标系
* U! `. V  [) k9 |) G1 b: K

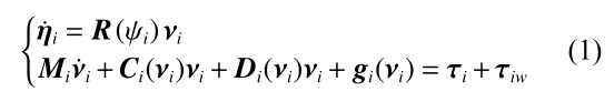
考虑N艘无人艇组成的集群系统,第i艘无人艇的运动学和动力学方程可由三自由度非线性模型描述:
78f26ad0731a76385e62fcedcb4c0523.png
式中:ηi=[xi,yi,ψi]T为第艘无人艇的位置和艏角向量,单位为[m,m,rad]T,其中(xi,yi)为XE-YE标系下的位置,τi=[τiu,τiv,τir]T为控制输入力力矩向量,单位为[N,N,N·m]T;τiw=[τiwu,τiwv,τiwr]T为由风浪流海洋环境引起的扰动向量,单位为[N,N,N·m]T;gi(νi)包括未建模流体动态和建模误差,单位为[N,N,N·m]T;Mi为惯性质量矩阵,MTi=Mi,单位为[kg,kg,kg·m2]T;Ci(νi)为向心力和科氏力系数矩阵,CTi(νi)=−Ci(νi);Di(νi)为阻尼矩阵;Mi,Ci(νi),Di(νi)和R(ψi)可表示为:
993f6cb5a3b4c2451d58815e601521aa.png

, P1 R5 v2 s) c% P
无人艇在航行时由于横漂速度会产生侧滑,其侧滑角定义为βi=atan2(vi,ui)∈(−π,π]。根据驱动器类型、数量以及分布的不同,无人艇运动数学模型分为全驱动和欠驱动2种类型。对于全驱动模型,无人艇在纵荡、横荡和艏摇3个自由度上的运动可由独立的驱动器控制。对于欠驱动模型,无人艇动力学控制输入信号的个数小于其自由度。当横荡方向缺乏独立的驱动器,其控制输入表示为τi=[τiu,0,τir]T。1 y, t# B, o' s" F- f7 l, K& k
⒉多无人艇集群协同控制面临的挑战
由无人艇运动数学模型式(1)可知,无人艇个体动态具有非线性、强耦合、多输入多输出、不确定、强扰动、欠驱动和多约束等特点。多无人艇集群系统通过局部感知或网络通信关联成大规模复杂动态系统,具有“复杂船体动态+关联拓扑+交互规则”的结构特点。多无人艇集群系统的群体行为由无人艇的个体动态、关联拓扑和交互规则共同决定,其系统规模大、状态维数高、关联拓扑复杂,使得多无人艇集群控制面临着极大挑战,具体描述如下:
⑴非线性。设计和分析集群控制器的首要问题是建立无人艇运动数学模型。运动建模是船舶运动控制研究的基础问题之一。无人艇运动的特点决定了其建模难度大、代价高、费时长。运动建模包括机理建模和辨识建模。机理建模一般需要大量的专家知识,即使通过机理建模能够得到精确的模型参数,在实际海洋环境下航行时其参数可能发生变化,因此辨识建模被广泛研究。辨识建模可分为频域法和时域法。典型的时域建模方法有最大似然估计、卡尔曼滤波、最小二乘回归、粒子群优化、神经网络、模糊系统等。近年来,人工智能技术特别是机器学习取得了长足的进步,可以预见,机器学习将在无人艇运动建模与运动预测方面发挥重要作用。
⑵不确定性。无人艇运动模型存在着大量的不确定性,包括模型参数不确定性、未建模动态、以及海洋环境风浪流扰动。为了降低和消除不确定性对运动控制性能的影响,提高无人艇在不确定性条件下的稳定性和鲁棒性,研究者提出了滑模控制、参数自适应控制、鲁棒控制、神经网络控制、模糊控制、扰动观测器、扩张状态观测器等控制和估计方法。在运动控制器一体化设计方面,反步法、动态面、微分跟踪器、指令调节器被广泛应用于无人艇运动控制器设计。一般而言,不同控制方法的组合能够带来控制性能的提升,然而控制器的复杂性也会相应增加,不利于实际工程实现。总之,进一步探索无人艇自适应抗干扰运动控制方法,克服内部和外部不确定性带来的影响,提高运动控制系统的稳定性、鲁棒性、抗扰性,不仅是单无人艇运动控制关注的焦点,也是多无人艇协同需要解决的问题。
⑶欠驱动。无人艇推进系统主要采用双桨推进、桨舵分离、喷水推进、舷外挂机等推进方式。无人艇系统的控制输入一般小于其自由度,属于典型的欠驱动系统。与全驱动不同,欠驱动无人艇运动数学模型存在不可积的二阶非完整约束,不能被反馈线性化,Brockett定理应用结果表明不存在时不变、光滑、状态反馈控制器来实现欠驱动无人艇的定点调节。为解决欠驱动控制问题,典型的控制方法有Transverse函数法和辅助变量法。在控制器设计过程中可采用不同的坐标变换,包括极坐标系变换、船体坐标系变换、Serret-Frenet坐标系变换等。近30年来,欠驱动船舶运动控制已取得了丰富的研究成果。值得指出的是,现有欠驱动单船舶运动控制方法并不能直接适用于多无人艇集群系统。
⑷多约束。由于驱动器能力的限制,无人艇运动数学模型不可避免地存在线速度约束、角速度约束、推力约束、舵偏约束等物理约束。不考虑实际物理约束的控制器可能导致控制性能下降,甚至引起系统失稳。根据约束变量的不同,可分为输出约束、状态约束和输入约束。为解决约束条件下船舶运动控制问题,研究者提出了模型预测控制、障碍函数法、辅助系统法和指令调节器等控制方法。现有研究结果大多只关注模型本身的约束,未考虑实际海洋环境约束。鉴于海上交通环境的复杂性,解决环境约束和物理约束同时存在条件下的多无人艇集群控制具有一定挑战性。
⑸状态不可测。在应用中,无人艇的位置信息可以通过廉价的全球导航定位系统如GPS和北斗定位系统获得,但其速度信息无法直接通过导航定位系统测量得到。加速度计只能测量加速度信息,不能测量速度信息。多普勒计程仪虽然可以对无人艇速度信息进行直接测量,但其价格昂贵,不适合大规模无人艇集群应用,尤其是小型低成本无人艇。因此,研究速度观测器及其输出反馈集群控制问题具有实际意义,能够显著降低控制算法的实现成本。为了对速度信息进行观测和估计,研究人员提出了波浪滤波观测器、高增益观测器、扩张状态观测器、神经网络观测器等估计方法。波浪滤波观测器依赖船舶动力学的无源特性,但需要模型参数已知;高增益观测器能够估计速度信息,但不能估计动力学模型的不确定性;神经网络观测器能够对模型不确定性和速度信息进行同时观测,但参数收敛依赖持续激励条件;扩张状态观测器能够对无人艇总扰动和速度进行同时观测,观测器中参数降为一,参数整定容易。随着无人艇应用数量的增加,研究输出反馈多无人艇集群控制具有实际意义,能够显著降低实现成本。
⑹通信受限。信息交互是实现无人艇集群控制的基础,网络通信是实现信息交互的重要手段。目前,常见的海上网络通信方式包括海上无线通信、海洋卫星通信和岸基移动通信。海上无线通信受气候条件和海洋环境影响较大,通信可靠性不高,通信带宽窄;海洋卫星通信系统的运营和维护成本高,且通信带宽受限;岸基移动通信是海洋通信网络的一种有力补充,具有高速率、低成本的优点,但是只能适用于小范围的近海海域。总体而言,目前海上通信存在速率低、带宽窄、成本高等缺陷。因此,如何实现通信约束条件下多无人艇集群控制是值得研究的重要课题,尤其是要发展分布式的协同控制方法。
⑺避碰。多无人艇协同不仅要避免与复杂海洋环境中动、静态障碍物发生碰撞,而且要避免多无人艇成员之间发生碰撞。自主避碰是保证无人艇集群安全航行的前提,特别是随着海上交通密度的不断增加,对避碰决策与控制的时间提出了更高要求,避碰是集群控制需要克服的难点。为了有效避免编队无人艇发生碰撞,现有方法包括指定性能法和人工势能函数法。目前关于无人艇集群编队避碰的研究还十分有限。因此,针对复杂海洋环境和潜在威胁信息,如何在通信、感知、计算资源受限的条件下,设计协同控制器避免无人艇与环境障碍物以及无人艇个体之间发生碰撞,保证无人艇集群运动决策的安全性,是多无人艇集群协同控制面临的挑战之一。
⒊控制结构
如图2所示,多无人艇集群控制结构包括集中式控制、分散式控制和分布式控制。
b59d7135e808d051d4335135c864d867.png
& X2 @- l. k& J. ?5 r

图2 无人艇协同控制器结构

⑴集中式控制。如图2(a)所示,集中式控制通过一个中央控制器C对集群进行统一控制,需要n艘无人艇的状态信息。中央控制器可以在远程地面站、母船或云端实现。集中式控制根据所有无人艇信息进行统一决策与控制,因此能够获得全局最优的性能。然而,集中式控制通信带宽要求高、计算资源要求高,信号传送可能产生延时,导致编队规模不能任意扩展。
⑵分散式控制。如图2(b)所示,分散式控制无中央控制器,n艘无人艇对应n个相互独立的控制器Ci,各控制器是平等的。由于感知能力的限制,控制器Ci只掌握无人艇集群中的部分状态信息。与集中式控制相比,分散式控制尽管很难保证全局的最优,但由于它具有模块化、可扩展等优点,受到控制人员的广泛关注。
⑶分布式控制。如图2(c)所示,与分散式控制类似,n艘无人艇对应n个相互独立的控制器Ci,控制器Ci通过局部感知和通信实施对个体的控制,不需要掌握群体的全部状态信息。与分散式控制不同,分布式控制器C1~Cn之间存在信息交换。由于信息的感知、通信、控制是分散进行的,极大程度地降低了信息通信的代价,控制更为灵活,操作更为方便,并且具有高容错性和扩展性。由于分布式控制不需要全局通信,降低了对通信带宽的要求,因而更适合于通信受限的海洋环境。
二、协同控制方法
集群协同现象在自然界无处不在,如鸟群、鱼群、蚁群等。生物通过简单个体协作展现出令人惊叹的复杂行为模式,这种行为模式对于生物适应环境、躲避天敌、共同捕食、群体决策起到关键作用。受生物群体协调行为的启发,国内外研究人员在集群控制方面开展了深入研究,有文献介绍了多无人艇集群协同控制的研究成果。典型的集群控制方法包括领航-跟随法、基于行为法、虚拟结构法、人工势能法、图论法。根据无人艇运动导引方式的不同,现有研究结果可归纳为基于轨迹导引的协同控制、基于路径导引的协同控制和基于目标导引的协同控制。表1从集中式控制、分散式控制、分布式控制3种控制结构总结了现有多无人艇集群协同控制研究结果的优缺点。表2从反步法、动态面、跟踪微分器、指令调节器4类控制器设计方法对现有多无人艇集群协同控制研究结果进行了分类总结。表3从滑模控制、参数自适应、神经网络、模糊逻辑、抗扰控制、约束控制、输出反馈、避障避碰、连通保持共9类控制方法对现有多无人艇集群协同控制研究结果进行了分类总结。

表1 轨迹导引、路径导引和目标导引的集群协同控制结构与优缺点

fd2aeeaecf1d554094263e9a55801b86.png
% u/ i( L0 ^2 n, D

表2 轨迹导引、路径导引和目标导引的集群协同控制器设计方法

c297be91facdfbf0ddf81584db5e2547.png

6 \+ s! _, x( T4 ?. e' l2 }0 L

表3 轨迹导引、路径导引和目标导引的控制方法

e865b0ace2d449e240283c0715f4d2cc.png
/ r% A; S5 {5 Y5 H- ]" e
⒈基于轨迹导引的协同控制4 I- t" M$ E7 y) r0 `% ~7 X; R1 z
在基于轨迹导引的集群控制方面,控制目标是多艘无人艇跟踪一条或多条时间相关的参考轨迹η(t),同时保持期望的编队队形。其时间要求和空间要求是耦合的,即要求在指定的时间到达指定的位置,适用于时间要求和空间要求较高的运动场景。根据轨迹个数的不同,现有研究结果可分为全轨迹导引的轨迹跟踪、单轨迹导引的分布式轨迹跟踪、多轨迹导引的分布式包含跟踪。如图3所示,在全轨迹导引方面,通常由轨迹生成器产生每艘船舶的参考轨迹,从而将编队控制问题转化为每艘无人艇的轨迹跟踪问题,轨迹生成器可采用集中式或分布式结构。
f6b1095491a84c198e37ee5f1cc9232c.png
7 i& t5 y7 D; @2 M5 T9 s) K3 J4 M

图3 基于轨迹导引的集群控制
: R- d$ h% C5 T# R

在单轨迹导引方面,集群中只有一部分无人艇访问参考轨迹信息,另一部分无人艇仅和相邻无人艇进行信息交互,不能访问参考轨迹信息。控制的目标是多无人艇协同跟踪该参考轨迹,保持期望的编队队形。在多轨迹导引方面,控制的目标是跟踪多参考轨迹生成的凸集空间。在控制结构上,单轨迹导引和多轨迹导引属于分布式控制。
在全轨迹导引方面,Do针对感知距离受限的欠驱动船舶,采用非线性变换、反步法、Trans-verse函数法和p次可微阶跃函数,提出了无风险编队控制器,在保持队形稳定的同时能够避免船舶之间发生碰撞。Transverse函数法可能导致控制信号和跟踪误差高频振荡,Do采用一个二阶动态系统产生跟踪参考轨迹,提出了一种改进的无碰撞同步轨迹跟踪控制器。该方法避免了Transverse函数法中复杂的坐标变换。Do采用轨迹生成器产生全局参考轨迹,属于集中式控制。与Liu等需要全轨迹信息不同,Li等研究了多无人艇分布式轨迹跟踪控制问题。
在单轨迹导引方面,Peng等提出了基于预估器的神经网络动态面控制方法,设计了无人艇分布式编队控制器,提高了神经网络学习和控制输入信号的暂态性能。考虑风浪流海洋环境扰动,Peng等提出了基于扰动观测器的分布式编队控制器,实现了动力定位船舶观测器和控制器的解耦设计。为了保证控制信号的低频特性,Peng等提出了基于低频学习机制的分布式神经网络控制器。为了减小神经网络的学习参数,Lu等提出了最少参数学习的神经网络编队控制器。为了改进编队控制系统的收敛性,Fu等针对受约束水面船舶提出了基于有限时间扩张状态观测器的编队控制器。上述文献主要针对全驱动船舶而设计。在欠驱动船舶方面,Park等提出了基于误差变换的编队控制器,具有避障、避碰和连通保持功能。为了实现编队误差的有限时间收敛,Li等提出了分布式非线性滑模编队控制器。
在多轨迹导引方面,目前已经取得了一些研究成果。Peng等针对单向网络连通含模型不确定性和海洋环境扰动的无人海洋航行器,提出了基于迭代学习神经网络的分布式状态反馈和输出反馈包含控制器。为了避免在控制器设计中使用函数逼近器,Yoo等提出了指定性能的分布式包含控制器,使得包含跟踪误差在暂态和稳态过程中收敛于预设的范围内。为了改进跟踪误差的收敛性,Qin等提出了自适应有限时间收敛包含控制器,减小了控制信号的抖颤。
⒉基于路径导引的协同控制
在基于路径导引的集群控制方面,控制目标是多艘无人艇跟踪一条或多条预设的参数化路径η(θ),同时保持期望的编队队形。与轨迹导引方式相比,除了控制器设计外,基于路径导引的集群控制需要进行参数化路径更新律的设计,因此提供了额外的控制自由度。对于群体而言,其空间要求和时间要求是解耦的,可以分别独立进行控制,如独立控制无人艇集群的航行速度。
图4所示,根据参数化路径个数的不同,现有研究结果可分为全路径导引的协同路径跟踪、单路径导引的分布式路径跟踪和多路径导引的分布式路径跟踪。对于全路径导引的协同路径跟踪,每艘船舶跟踪一条参数化路径,集群行为通过参数化路径变量的协同实现。在单路径导引的分布式路径跟踪方面,集群中只存在一条参数化路径,多无人艇通过局部信息交换实现对参数化路径的协同跟踪。与基于多轨迹导引的包含控制类似,多路径导引的分布式路径跟踪跟随的是参数化路径上虚拟领航者生成的凸集空间。
1c29a32db4dde90d47e60b3be5c477e5.png

9 M+ t! t6 m! u

图4 基于路径导引的集群控制9 Q7 ~* v! a; P8 d1 D- w. k  W

在全路径导引方面,Skjetne等将协同路径跟踪分解为几何任务和动态任务,设计船舶协同路径跟踪控制器,其路径参数更新需要所有船舶的参数信息。Do提出了另一种路径参数更新律,每艘跟随船需访问领航者路径信息。Ihle等采用无源性理论设计了分布式同步路径参数更新律,路径参数通过离散采样更新,去除了有关文献要求全局通信的假设条件。随后,研究人员分析了不同网络环境下协同路径跟踪控制器的稳定性,包括通信丢包与通信时延,时变通信时延,离散周期通信,事件触发通信,时变状态相关网络攻击等。Do等假设船舶模型是精确已知的,因此不能保证参数不确定和海洋环境扰动下的稳定性。为了改进模型不确定和海流影响下的稳定性,Almeida等采用反步法设计了自适应协同路径跟踪器。为了解决海洋环境下的非结构不确定性和风浪流海洋环境扰动,Wang等提出了基于神经网络的状态反馈和输出反馈协同路径跟踪控制器。另外,Gu等提出了基于扩张状态观测器的抗干扰协同路径跟踪控制方法,试验验证了该方法的有效性。
值得指出的是,Almeida等需要为每艘无人艇单独规划路径,只能实现多路径上的并排编队队形。Liu等提出一种基于路径参数包含的协同路径跟踪方法,实现了单一路径上的队列编队队形。Liu等将该结果进一步拓展到动力学层次,采用模块化方法设计了协同路径跟踪控制器。Liu等局限于开曲线路径上的协同编队,不能实现闭曲线的协同路径跟踪。Liu等提出了参数环形跟踪的协同路径跟踪控制方法,实现了闭曲线上的对称编队队形。随后,在参考速度非全局已知的情形下,提出了参数循环跟踪的协同路径跟踪控制器,试验验证了所提方法的有效性。有关文献中,每艘无人艇都需获得路径信息,属于集中式控制。
在单路径导引的分布式路径跟踪方面,Peng等提出了基于神经动态优化和模糊逼近的分布式协同路径跟踪控制器,实现了单参数化路径导引的多无人艇分布式编队控制,在状态约束条件下优化了集群控制性能。Peng等采用三阶扩张状态观测器估计线速度和艏摇角速度,提出了带避障避碰和连通保持功能的分布式输出反馈路径跟踪控制器,这些控制方法均局限于全驱动无人艇。针对通信距离受限下欠驱动多无人艇集群系统,Peng等设计了分布式时变队形控制器,所提控制器兼具避障、避碰与连通保持功能。
在多路径导引的分布式路径跟踪方面,Peng等采用模块化方法设计了分布式协同路径跟踪控制器,使得多无人艇收敛到多领导者所形成的凸包内。Peng等将其文献的结果扩展到输出反馈情形,提出了基于神经动力学观测器的分布式协同路径跟踪控制器,该研究结果局限于全驱动船舶。Gu等提出了多参数化路径导引的欠驱动多无人艇分布式包含操纵方法。随后,在分布式路径跟踪控制器设计中引入避碰和连通保持机制,采用有限时间收敛扩张状态观测器,提出了基于位置和艏摇角信息反馈的分布式协同路径跟踪控制器,实现了包含编队误差的有限时间收敛。
在路径参数协同方面,典型的方法包括连续路径参数更新、数据采样更新、离散周期更新等。在运动学层次,Peng等提出的分布式路径跟踪制导率均采用连续控制方式,从网络控制的角度出发,如何进一步减轻分布式协同制导的通信负担是值得研究的课题。
⒊基于目标导引的协同控制
基于目标导引的集群控制即无人艇跟踪单个或多个动态目标,同时保持期望的编队队形。与轨迹导引和路径导引不同,由于无人艇感知或通信能力的限制,跟随船只能获取目标船的瞬时信息,无法获得目标船的未来位置、速度和加速度等信息。
如图5所示,根据目标个数不同,现有结果可分为单目标导引的单无人艇目标跟踪、单目标导引的多无人艇协同跟踪和多目标导引的多无人艇包含跟踪。在单目标导引的单无人艇目标跟踪中,控制目标是跟随船与领航船保持相对距离或相对角。在单目标导引的多无人艇协同跟踪方面,集群中只存在1艘目标船,多无人艇通过局部信息交换实现对该目标船的协同跟踪。在多目标导引方面,多无人艇通过局部信息交换实现对多目标船的协同包含。
62faf82177b2816b235419073363b8ea.png
% ^/ R. P$ q- y1 X# n

图5 基于目标导引的集群控制
2 o  l" K  ?" y. k- I  n* [4 C$ H- x

在单无人艇目标跟踪方面,研究人员已经取得了丰富的研究成果。具体而言:Fahimi采用滑模控制方法设计了领航–跟随编队控制器。该控制器仅需无人艇与邻船的相对量测信息。Peng等提出了基于多层前馈神经网络的自适应编队控制器,解决了运动学和动力学同时存在不确定的编队控制问题。Cui等提出了一种基于虚拟目标导引的自适应领航–跟随编队控制方法,动力学不确定与海洋环境扰动采用径向基神经网络进行补偿。考虑船舶输入受限问题,Shojaei结合饱和函数提出了神经网络领航-跟随编队控制器。考虑船舶速度不可测,Shojaei提出了基于神经网络观测器的饱和编队控制器。考虑船舶不确定性和执行机构故障,Jin提出了故障容错自适应领航–跟随编队控制器。采用时变正切函数保证了相对距离和相对角度在期望的界内。考虑编队误差的暂态性能,Dai等提出了基于指定性能的领航–跟随编队控制器,该控制器具有避碰和连通保持功能。类似的方法可见Sun等的研究。
考虑目标船动态未知,Liu等设计了基于ESO的神经网络控制器。为了减少控制抖颤,Sun等提出了自适应连续滑模编队控制器。Fahimi等在目标跟踪时未引入制导策略,Breivik等则将平行接近制导引入目标跟踪设计,通过跟踪位于领航船附近的虚拟目标,实现了领航–跟随编队结构。Hinostroza等提出了向量场制导的目标跟踪方法。
值得指出的是,Breivik等研究的是一对一的目标跟踪问题,控制的目的是目标船与跟随船保持相对位置和角度。在某些应用场景期望对目标船实施包围,保持与目标船环绕的编队队形。Jiang等针对未知海流扰动下目标跟踪问题,提出基于视距制导和海流估计器的目标包围控制方法,实现了无人艇对速度未知目标船的动态包围。Peng等出了事件触发的动态面设计方法,设计了基于模糊逻辑系统的目标包围控制器,降低了无人艇执行器的动作频率。上述研究结果只能实现单无人艇对单目标的跟踪或包围。
在单目标导引的协同目标跟踪方面,Glotzbach等采用视距制导方法,提出了通用的协同目标跟踪控制结构,实现了对水下动态目标的多无人艇协同跟踪。Liu等针对模型已知欠驱动无人艇,提出了基于群集动态和轨迹跟踪的分层控制方法,实现了对目标艇的跟踪和包围。该文提出的分布式协同控制器实现了多无人艇协同目标包围队形。
在多目标导引方面,Soares等和REGO等通过调节跟随者与2个领航者的相对位置,实现了3艘海洋航行器的三角编队队形。Yu等则是针对动态未知欠驱动无人艇,提出了基于多目标艇导引的分布式协同目标跟踪方法,实现了编队-包含队形。
三、总结与展望
随着舰船科学、控制科学、网络科学、通信科学、电气工程、人工智能的飞速发展,舰船科学与各学科交叉融合,无人艇集群控制技术不断取得新的研究进展。为建立以高可靠、高精度、强适应、抗干扰、自主协同为特征,具备快速集群任务响应、集群队形重构与变换能力,满足未来复杂海洋环境下集群化海洋作业任务的多无人艇自主协同控制系统,本文最后提出一些尚待解决的问题及未来值得深入探索的研究方向:
⑴多无人艇网络化协同控制。将无人艇通过网络连接实现信息交互与共享,进而实现网络环境下的集群协同,是未来多无人艇集群控制研究的重要趋势之一。现有多无人艇集群控制理论通常假设通信与信息传输是理想的,重点关注的是如何利用分布式反馈信息实现期望的集群控制目标,未考虑通信环境如通信时延、数据丢包、拓扑时变、间歇通信、异步通信、距离受限等因素对集群控制的影响。这些网络因素可能降低集群控制性能,甚至导致闭环系统失去稳定性。因此,如何进一步考虑网络因素,系统地建立网络环境下多无人艇分布式协同控制方法值得深入研究。
⑵多无人艇安全协同控制。避障和避碰不仅是实现单无人艇自主航行的基础,也是保障多无人艇集群安全航行的基础。由于海上交通环境的复杂性,无人艇在水面航行时不仅会遇到多种静态或者动态障碍物,还可能存在触碰暗礁或搁浅等风险。与此同时,多无人艇之间也可能发生碰撞,多无人艇安全协同控制极为重要。特别是编队个体和海上交通密度的增加,给无人艇集群控制器设计带来了更大的挑战。因此针对复杂海洋环境和潜在的威胁信息,如何设计集群分布式协同控制器,避免无人艇与环境障碍物以及无人艇个体之间发生碰撞,保证多无人艇编队航行或编队重构的安全性值得深入探索。
⑶多无人艇最优协同控制。现有多无人艇集群控制仅研究如何在不确定及海洋环境扰动下保持编队队形稳定的问题,闭环控制系统的稳定性、收敛性、鲁棒性是关注的重点,而没有考虑集群控制的最优性。随着海洋科技的发展,必然对集群控制性能提出更高的要求,尤其是如何在能量受限、资源受限、通信受限以及环境受限的条件下,针对模型未知的多无人艇集群系统,研究具有自主学习和自主优化能力的集群协同控制器,实现多无人艇集群最优协同控制。
⑷多无人艇免模型协同控制。现有多无人艇集群控制器设计和分析大多基于现代控制理论,依赖由微分方程或差分方程描述的数学模型,如鲁棒控制、自适应控制、神经网络控制、模糊控制、滑模控制等都是基于无人艇模型构造集群控制器,系统的稳定性、收敛性、鲁棒性成为控制器设计关注的重点。控制过程完全依赖或部分依赖模型参数信息,控制算法较为复杂,待估参数多,不利于实际工程应用。免模型控制如PID控制仅利用输入、输出数据进行反馈控制,在工程实现方面更具吸引力,控制器可调参数少,降低了控制器实现的复杂性。因此,如何建立多无人艇免模型协同控制方法,降低集群控制器的复杂性,对于多无人艇集群控制方法走向工程应用具有重要意义。
⑸多无人艇与多水下航行器立体协同控制。由于GPS不适用于水下环境,水下导航定位成为AUV水下作业时所面临的重要挑战之一。除此之外,AUV海洋作业面临的另一个挑战是缺乏高效的通信链路。AUV水下作业一般采用水声信道进行通信。然而,水声信道是迄今为止最为复杂的无线通信信道之一,因其固有的时空频变以及窄带、高噪、长时延传输等特征,使得水声通信在性能上难以满足AUV对实时控制的需求。与AUV相比,无人艇具有精确的导航定位能力,能够与水上、水下、空中等空间平台进行通信。无人艇与AUV立体协同不仅可以为其提供垂直通信信道,克服水声通信的频带限制,同时也能提供精确的GPS导航信息。因此,开展多无人艇与多AUV立体协同控制研究,有助于实现AUV大范围、长时间、高效率的海洋作业。
⑹多传感信息融合的多无人艇协同控制。无人艇通过搭载航海雷达、激光雷达、视觉传感器、热像仪和声呐等感知设备,可以增强对目标识别和障碍检测的能力。航海雷达探测广,但感知精度低,存在探测盲区。可见光摄像头、红外摄像头等视觉传感器的感知精度低,且基于图像的目标识别技术对数据的实时处理能力要求高,在大雾天气下难以正常工作。与视觉传感器相比,激光雷达的识别精度高,但也存在恶劣天气可靠性差的问题。声呐分为主动声呐和被动声呐,主动声呐可以探测静止目标,但探测波短,容易暴露位置。被动声呐探测波长,隐蔽性强,但不能探测静止目标。总而言之,无人艇在对目标识别和障碍检测方面仍处于感知精度低、实时性差的落后阶段。因此,研究一套探测范围广、感知精度高、实时性好的智能感知设备,对于多无人艇集群协同的可靠性和安全性至关重要。
⑺多无人艇集群协同控制试验研究。美国海军、里斯本理工大学、云洲智能、哈尔滨工程大学、上海交通大学、华中科技大学、西北工业大学、大连海事大学等单位开展了集群控制试验研究。然而目前关于无人艇集群控制试验方面的研究报道还十分有限,大量的理论控制算法有待进一步检验。因此,将集群控制理论和实践相结合,大力开展多无人艇集群控制试验验证研究,对新型集群控制基础理论的有效性进行试验验证,将进一步推动和加快多无人艇集群系统的工程应用。

- G1 ~$ t# m$ `- Y5 j2 [
& e# y* V3 P' n/ [9 A+ B
回复

举报 使用道具

相关帖子

全部回帖
暂无回帖,快来参与回复吧
懒得打字?点击右侧快捷回复 【吾爱海洋论坛发文有奖】
您需要登录后才可以回帖 登录 | 立即注册
文星雨
活跃在2026-4-15
快速回复 返回顶部 返回列表