收藏本站 劰载中...网站公告 | 吾爱海洋论坛交流QQ群:835383472

大学物理期末复习题及答案(1)-海洋仪器网资料库

[复制链接]
j i r )()(t y t x +=大学物理期末复习题
$ |. M$ B) {: H1 j力学部分! \+ j+ W) k& ~+ z8 Z
一、填空题:0 J) c/ G8 }5 t: F, A
1. 已知质点的运动方程,则质点的速度为 ,加速度
! U) n# S0 {0 G5 [0 n为 。4 F4 E! B' s! K1 X
2.一质点作直线运动,其运动方程为2# S3 f" c6 l& s( L( v3 u. `0 i
21)s m 1()s m 2(m 2t t x --?-?+=,则从0=t 到s 4=t 时间间隔内质点的位移大小 质点的路程 。$ d) O7 X/ m$ U  y
3. 设质点沿x 轴作直线运动,加速度t a )s m 2(3-?=,在0=t 时刻,质点的位置坐标4 o( F/ \- U, \& Z0 w
0=x 且00=v ,则在时刻t ,质点的速度 ,和位置 。
- F- Q$ M, C/ P2 ~% s5 n* X4.一物体在外力作用下由静止沿直线开始运动。第一阶段中速度从零增至v,第二阶段中速度从v 增至2v ,在这两个阶段中外力做功之比为 。/ l$ n4 D( I! p& @6 @* ]2 J
5.一质点作斜上抛运动(忽略空气阻力)。质点在运动过程中,切向加速度是
' k! |; F9 p, s5 s0 N% I,法向加速度是 ,合加速度是 。(填变化的或不变的)
4 O; P+ n2 K9 S7 m7 I" {

. y( m( T1 w5 F& O- s4 b                               
登录/注册后可看大图

- R- P) V0 L0 N5 p; H6.质量m =40 kg 的箱子放在卡车的车厢底板上,已知箱子与底板之间的静摩擦系数为 s =0.40,滑动摩擦系数为 k =0.25,试分别写出在下列情况下,作用在箱子上的摩擦力的大小和方向.2 i6 U: o. l# L. X% G7 |& j$ P9 y
(1)卡车以a = 2 m/s 2的加速度行驶,f =_________,方向_________.2 O/ R$ @- d/ c/ \" d
(2)卡车以a = -5 m/s 2的加速度急刹车,f =________,方向________./ R8 L* v0 h& S' d( ^' A
7.有一单摆,在小球摆动过程中,小球的动量 ;小球与地球组成的系统机械能 ;小球对细绳悬点的角动量 (不计空气阻力).(填守恒或不守恒) 二、单选题:
4 z' |; L0 Q4 ~1.下列说法中哪一个是正确的( )% m! e0 ?  `2 W6 }9 K7 B
(A )加速度恒定不变时,质点运动方向也不变 (B )平均速率等于平均速度的大小
* ~- H  y7 J$ c4 k+ r(C )当物体的速度为零时,其加速度必为零) Q2 O8 S& N8 ^1 Y9 X5 }3 X- e
(D )质点作曲线运动时,质点速度大小的变化产生切向加速度,速度方向的变化产生法向加速度。
& |! t" T; Y1 J1 c. v3 H2. 质点沿Ox 轴运动方程是m 5)s m 4()s m 1(122+?-?=--t t x ,则前s 3内它的( )
$ D# F; a' D8 c0 g! G: K( H6 G8 ~! ^ 6 _4 [5 y' N% k' Q
                               (A )位移和路程都是m 3 (B )位移和路程都是-m 3 (C )位移为-m 3,路程为m 3 (D )位移为-m 3,路程为m 5# y- [/ i4 ~7 x2 u1 H
3. 下列哪一种说法是正确的( ) (A )运动物体加速度越大,速度越快
& @* E' e0 b- w: f6 h1 T+ d4 S(B )作直线运动的物体,加速度越来越小,速度也越来越小 (C )切向加速度为正值时,质点运动加快+ E; a0 `5 r8 I) L$ }: C
(D )法向加速度越大,质点运动的法向速度变化越快4 h, C+ |. i( t4 i
4.一质点在平面上运动,已知质点的位置矢量的表示式为j i r 2
3 Y: H0 Y5 V; U7 P" M- D2
0 k( X1 ]# h; q. Kbt at +=(其中a 、b 为常量),则该质点作( )$ J, k2 P9 ?* e; C+ e
(A )匀速直线运动 (B )变速直线运动 (C )抛物线运动 (D )一般曲线运动
0 y1 z% g- @" O& h7 ?5. 用细绳系一小球,使之在竖直平面内作圆周运动,当小球运动到最高点时,它( )
$ G" L' @0 H( S- k# N% Q# }( i! ^(A )将受到重力,绳的拉力和向心力的作用 (B )将受到重力,绳的拉力和离心力的作用 (C )绳子的拉力可能为零
6 g5 L3 j. [! |6 U- h; y(D )小球可能处于受力平衡状态 6.功的概念有以下几种说法' }7 q0 D# M# `+ ~
(1)保守力作功时,系统内相应的势能增加! t0 n0 }: }1 U. P
(2)质点运动经一闭合路径,保守力对质点作的功为零
' ~: j  u' S9 g, q. O" G7 O. ?(3)作用力和反作用力大小相等,方向相反,所以两者作功的代数和必为零 以上论述中,哪些是正确的( )
# G7 B; H8 ]! R" W(A )(1)(2) (B )(2)(3) (C )只有(2) (D )只有(3)# p, ?0 D& ~8 R. _  G# B- _
7.质量为m 的宇宙飞船返回地球时,将发动机关闭,可以认为它仅在地球引力场中运动,当它从与地球中心距离为1R 下降到距离地球中心2R 时,它的动能的增量为( )
  B3 f% S1 ^; s' U1 B! @  f4 e(A )2" V2 q2 m, ]0 @- J9 B! k2 e
E R m m G/ O& [8 c8 |5 F/ C8 b
? (B )25 k) ~6 h  M( X4 ^
121E R R R R m Gm - (C )2# C- r& Y0 b% z& X
12
( ]6 g) c; }3 Y4 D' i" s; A6 e1E R R R m Gm - (D )2
, O3 d9 I% Q; ~; B2
; F3 ]5 l# A: i1 p6 K# j3 H212# h$ {; D: F  i) N6 [
1E R R R R m
$ W' U" b' p2 h/ P5 g+ A, ]# e! a! \3 VGm --
& e  }0 C, u( e3 S8.下列说法中哪个或哪些是正确的( )
& p: X& @* V+ y' F(1)作用在定轴转动刚体上的力越大,刚体转动的角加速度应越大。 (2)作用在定轴转动刚体上的合力矩越大,刚体转动的角速度越大 (3)作用在定轴转动刚体上的合力矩为零,刚体转动的角速度为零 (4)作用在定轴转动刚体上合力矩越大,刚体转动的角加速度越大 (5) 作用在定轴转动刚体上的合力矩为零,刚体转动的角加速度为零 9.一质点作匀速率圆周运动时( )
) U# w3 r* `4 W  x6 J) X(A )它的动量不变,对圆心的角动量也不变 (B )它的动量不变,对圆心的角动量不断改变 (C )它的动量不断改变,对圆心的角动量不变
) V& \: g- P/ r/ [" a! y" y(D )它的动量不断改变,对圆心的角动量也不断改变 10 . 人造地球卫星绕地球作椭圆轨道运动,地球在椭圆轨道上的一个焦点上,则卫星( )
9 ^; Z8 m! A: ?1 [; b                               (A )动量守恒,动能守恒 (B )对地球中心的角动量守恒,动能不守恒 (C )动量守恒,动能不守恒 (D )对地球中心的角动量不守恒,动能守恒
6 l+ ~9 S8 W/ i- g; A* b( m11.花样滑冰者,开始自转时,其动能为20 O  @) s# n0 E& o( C

, L% Q$ Z) a: m, l7 k1 O21ωJ E =,然后将手臂收回,转动惯量减少到原来的318 b3 l9 X  o1 M$ d: {5 Y' ?
,此时的角速度变为ω,动能变为E ,则有关系( ). K7 r2 I9 x! @5 f
(A ),
' K/ q/ P7 u# M1 X$ a; U/ ],300
% d1 S  p6 n* K4 t/ hE E ==ω
1 _' G6 p" ?, u; [0 |8 B1 J% `ω (B )
- i7 F7 n" d" k  ~; b7 h% \
7 j) d  R2 f' r0 v$ f* U03,30 w' D; l0 j  r% K2 r! b# g
1E E ==ωω (C ),,300E E ==ωω (D )
7 n" P* {$ q  v8 B3 b  G003 , 3E E ==ωω
* \9 A5 F  p2 e6 y) z3 ^12.一个气球以1
3 {9 I' u+ s! r- I* hs m 5-?速度由地面匀速上升,经过30s 后从气球上自行脱离一个重物,该物体从脱落到落回地面的所需时间为( )1 {. s7 X2 A$ h- }6 `6 x+ V# \$ R. R
(A )6s (B )s 30 (C )5. 5s (D )8s
7 A" ]2 S5 _1 I+ J13. 以初速度0v
% Q9 K/ \- [4 ~将一物体斜向上抛出,抛射角为0
4 V+ K5 L4 x* s9 H. h" ^1 t% J# w60=θ,不计空气阻力,在初始时刻该物体的( ): {% p) x) r- O# N3 A' c9 \
(A )法向加速度为;g (B )法向加速度为;23g" W8 G) \6 B. m2 u4 u
(C )切向加速度为;2
# h/ h- p' _3 Q# B+ [. A. p3g - (D )切向加速度为.21
& O& n8 B  |& |* N( \: cg -
" V) M: M1 r+ ]& }9 K! `. ~14.如图,用水平力F 把木块压在竖直墙面上并保持静止,当F 逐渐增大时,木块所受
1 {7 a6 Z' N9 T2 i" P/ ~的摩擦力( )
7 b) d2 p3 m1 r* [
  |# v) {+ f9 ]% i4 N
                               
登录/注册后可看大图

7 j! X( r' ]0 o' m1 P(A )恒为零; (B )不为零,但保持不变; F (C )随F 成正比地增大;2 C8 Y: |8 H4 h  V. e7 s
(D )开始时随F 增大,达到某一最大值后,就保持不变。
* f0 l; r) H% P+ `; C15.质量分别为m 和4m 的两个质点分别以k E 和4k E 的动能沿一直线相向运动,它们的总动量的大小为( )
+ O# a& R% i  A8 Z$ O' x9 z& x: @(A );33
, U# J# t6 Q9 I( N' Ik mE (B );23k mE (C );25k mE (D ).2122k mE -
8 Q2 {  I- f7 F16. 气球正在上升,气球下系有一重物,当气球上升到离地面100m 高处,系绳突然断裂,重物下落,这重物下落到地面的运动与另一个物体从100m 高处自由落到地面的运动相比,下列哪一个结论是正确的( )1 Z0 b0 e2 ~8 U' S7 f) H) ]1 H/ M
(A )下落的时间相同 (B )下落的路程相同 (C )下落的位移相同 (D )落地时的速度相同4 I. M: Q# Q; y' k" b& e8 r. z( s
17.抛物体运动中,下列各量中不随时间变化的是( ) (A )v (B )v
4 f8 ?3 x; c9 p6 e(C )t v d (D )t d d v' l1 Q* e  Q3 Q
18.一滑块1m 沿着一置于光滑水平面上的圆弧形槽体2m 无摩擦地由静止释放下滑,若不计空气阻力,在这下滑过程中,分析讨论以下哪种观点正确:( )
: o2 u) m) r- E% M' M1 m1 r+ v                               (A)由1m和2m组成的系统动量守恒(B)由1m和2m组成的系统机械能守恒# }" i! W4 i/ ~) ^% ^! i0 u8 r
(C)1m和2m之间的正压力恒不作功(D)由1m、2m和地球组成的系统机械能守恒
0 n  O9 [5 |9 u3 V# H三.判断题1 ^" n3 a; u: |# c
1.质点作曲线运动时,不一定有加速度;()
1 \4 }4 N. q5 n* N5 a0 O& |2.质点作匀速率圆周运动时动量有变化;()! Y3 T1 \4 M+ _; S7 {
3.质点系的总动量为零,总角动量一定为零;()9 k% y% q" K$ E8 z8 Z
4.作用力的功与反作用力的功必定等值异号,所以它们作的总功为零。()
1 F  c, y3 A% N" C. o, [7 Z5 X5.对一质点系,如果外力不做功,则质点系的机械能守恒;()
3 e2 Z/ M5 Y! E* C3 i热学部分0 p% z3 A8 R  u$ e5 g+ K- p' E# I
一、填空题:' }2 S: s7 f, C" r) Z: ?
3.热力学第一定律的实质是涉及热现象的.
! b1 F' S! i# G' s( {$ ^4.某种理想气体分子的平动自由度t=3,转动自由度r=2,振动自由度s=1.当气体的温度为T时,一个分子的平均总能量等于,一摩尔该种气体的内能等于。3 H- U8 d+ e- a( ~7 ?$ B+ ~  y: O8 m
5.热力学概率是指。
2 _! s- P/ M" t# K5 T2 O6.熵的微观意义是分子运动性的量度。
% a) Q- e% d2 C6 v7 Y7 F7.1mol氧气(视为理想气体)储于一氧气瓶中,温度为27o C,气体分子的平动自由度t=3,转动自由度r=2,振动自由度s=0.则氧分子的平均平动能为J;氧分子的平均总动能为J;该瓶氧气的内能为J。9 T3 Y# b2 }& q( O: V; D
8.某温度为T,摩尔质量为μ的气体的最概然速率v p=,物理意义为。
% i! {/ R+ u" q5 p- E$ o9.密闭容器内的理想气体,如果它的热力学温度提高二倍,那么气体分子的平均平动能提高倍,气体的压强2倍(填提高或降低)。  `. |3 v) F" q9 R, m
二、单项选择题
' S+ G1 t- u+ o- X/ \6 \' j4 Z) O1.在下列理想气体各种过程中,那些过程可能发生?()8 F1 p/ {  b, z# B. t
(A) 等体加热,内能减少,压强升高(B) 等温压缩,吸收热量,压强升高
* U$ V* V  R( r  i  \; }( l2 \+ o(C)等压压缩,吸收热量,内能增加(D) 绝热压缩,内能增加,压强升高
3 n$ I  h+ p, \+ Z; g4 ^2.下列说法那一个是正确的()
% Y6 ~, q4 U: B) ^! n(A) 热量不能从低温物体传到高温物体" e6 o# p/ h% ~% y# X' A2 f
(B) 热量不能全部转变为功+ q4 r, Y. F7 z. C) Y6 F+ Q& j* U
(C)功不能全部转化为热量3 n/ d" U3 P7 }0 ?: k) J) O- D0 j
(D) 气体在真空中的自由膨胀过程是不可逆过程
! F2 `7 H: n0 i( F5 r3.在绝热容器中,气体分子向真空中自由膨胀,在这过程中(), y5 k& a" @& X; H
(A)气体膨胀对外作功,系统内能减小 (B)气体膨胀对外作功,系统内能不变4 I% l* V1 {( y  {, c4 N
(C)系统不吸收热量,气体温度不变 (D)系统不吸收热量,气体温度降低
. ?9 o: G( P9 J                               4.1mol的单原子理想气体从A状态变为B状态,如果不知道是什么气体,变化过程也不清楚,但是可以确定A、B两态的宏观参量,则可以求出()
4 X6 M& z) [1 @/ ]3 Z(A) 气体所作的功 (B) 气体内能的变化
- l7 x7 Z4 ^: W: \& Z# ]' X% L0 |) k(C)气体传给外界的热量 (D) 气体的质量
5 m+ W2 V' P& I. Q5 `5. 热力学第二定律表明()
' Q- p7 S, G# P8 M( e# L(A)不可能从单一热源吸收热量使之全部变为有用功而不产生其他影响% o9 y% B6 e, I8 t, p3 V, `/ Z2 s
(B) 热不能全部转变为功: U- E- ~& }0 D1 ^
(C) 热量不可能从温度低的物体传到温度高的物体/ z7 a* j0 L) Y/ x" a$ [# Y$ q8 I% k
(D) 以上说法均不对。( i: A& z) S9 P+ w
6.在标准条件下,将1mol单原子气体等温压缩到16.8升,外力所作的功为()6 o! T/ m" j" I* V
(A) 285 J (B) -652 J (C) 1570 J (D) 652 J
2 G- L4 S* G  v+ f  C7.关于热功转换和热量传递有下面一些叙述
# A# X2 D9 {1 x8 w(1)功可以完全变为热量,而热量不能完全变为功;) }- S6 e' K( I9 a0 M! }9 G
(2)一切热机的效率都小于1 ;
; K# R0 {6 L) B# a" d(3)热量不能从低温物体传到高温物体;& B9 Y7 i8 U8 K) u3 ]
(4)热量从高温物体传到低温物体是不可逆的。. r: A- X2 i& t
8.以上这些叙述( )
+ q5 m; d% ?$ \- e( V+ R(A) 只有(2)、(4)正确 (B) 只有(2)、(3)、(4)正确; H4 {/ y% @& o; p0 F0 w- g
(C)只有(1)、(3)、(4)正确 (D) 全部正确7 r# d$ ?) Z! D- I: N7 l
9.速率分布函数f(v)的物理意义为(); b+ a7 u# q6 R
(A)具有速率v的分子占总分子数的百分比
9 O6 [/ r) u; O, n6 f' E5 S1 X(B)速率分布在v附近的单位速率间隔中的分子数占总分子数的百分比
6 @% c" E5 B+ f(C)具有速率v的分子数
8 d' K& N7 j- e/ Z! [1 {(D)速率分布在v附近的单位速率间隔中的分子数  M9 h! b1 w* x9 p
10.1mol刚性双原子理想气体分子在温度为T时,其内能为(). Z0 ?* T" h$ {
(A), T* d5 S( x6 t: M) |* U5 x7 e
RT; a: {( M9 F$ |4 @6 ~* n1 U
3
9 |& R: t7 V2 h/ Z7 K2* b+ W# C2 e4 N
(B)3 M% y) u$ |* \+ q
kT+ \/ V; Y0 H3 K# w9 S- v# A. {/ y
2
- f3 v. q! V( v% a( \3! D0 j8 D' j* ]) C/ Y
(C)' d) U9 b, D# r7 Z  e
RT
2 t' V- h( d/ H3 H# V2 j2' g# f2 N0 i, N8 P" |: M
5% H* y! K/ B+ I! w* G' Q5 B
;(D)
7 a) O- n; b9 t& ukT% x! M& s# V" F3 V4 r
2
5 o+ r' Z. a# [; a5 R: h2 Y- \5* _; v. A4 ~3 o' {, D" A+ G) Y
# J9 [& n9 U! g# b, ]* [
11.压强为p、体积为V的氢气的内能为()% J- F# K% ?  y
(A)% s( K- I* z4 N5 o1 |# F
pV0 C1 K3 S" T1 R% ^* ?
29 O! t, a; R. g3 x* }
5
% [& V$ {8 U; m( Z# {2 U8 Z, x(B)
+ |5 G5 j; _/ fpV
6 ~6 Z% @6 {8 y7 p25 ~" C4 [/ E7 S" e: d; {
3" P% C4 B# p7 |# i# ]: Q1 w! I
(C)
* D3 l' g1 s* A, `4 x$ T- c% `pV) |8 s+ R& a+ p
2
6 ?0 h. Y7 o3 B8 B/ i( x& D1: t9 f4 f' V1 ^0 V# ~: C% J& h, \
(D)
" M+ H6 O" g( `4 E, Q) S; j3 zpV
2 c% f; k3 J& E( p2
* u9 `: ?7 _$ p7
/ U! u; p' \7 M! ^5 J3 M12.质量为m的氢气,分子的摩尔质量为M,温度为T的气体平均平动动能为()( x$ C% m; _! U( I
                               (A )RT M m 23 (B ) kT M m 23 (C ) RT M m 25; (D ) kT0 b, R. k/ B& ^9 n4 \
M m( F8 J9 j0 }6 ]- x; s) P
25
# C' r6 Y6 p& V9 r电学部分3 v0 [5 f7 c2 k, P
一、填空题:2 l0 s; }/ a9 X9 C) |
1.电荷最基本的性质是与其他电荷有 ,库仑定律直接给出了 之间相互作用的规律;  A9 q: x3 e* |5 b7 L
7.两个电荷量均为q 的粒子,以相同的速率在均匀磁场中运动,所受的磁场力 相同(填一定或不一定)。
4 W2 `  g, y$ R9 V11.麦克斯韦感生电场假设的物理意义为:变化的 _______ 能够在空间激发涡旋的电场;# ]- b# N/ g  R7 n7 D! W: Y
位移电流假设的物理意义为变化的 _______ 能够在空间激发磁场。
3 h4 {0 }8 v! P* x9.自感系数L =0.3 H 的 螺 线 管 中 通 以I =8 A 的电流时,螺线管存储的磁场能 量W =___________________. 二、选择题:# w$ Z$ m$ s) v( i3 t; w% x7 p
1.点电荷C q 6100.21-?=,C q 6% f( X1 j8 j. P' ?( b% _2 `/ C, ^
100.42-?=两者相距cm 10=d ,试验电荷" f2 R7 A( w2 l1 L3 k% }
C q 6100.10-?=,则0q 处于21q q 连线的正中位置处受到的电场力为( )
& ?+ a; T- ?! W6 J8 a(A )N 2.7 (B )N 79.1 (C )N 102.74-? (D )
# Z, J) K9 V2 Z* UN 1079.14-? 2.一半径R 的均匀带电圆环,电荷总量为q ,环心处的电场强度为( ) (A )2
! Q, K! o1 J( }( Z, w2 B/ a" x0 {0π4R q
" p: _0 K1 {! Y" rε (B )0 (C )R q 0π4ε (D )202' H, z6 e  t4 D4 m$ l
π4R q ε
* J$ j5 r% Y( }7 v3 F3 J! R" W% P3.一半径为R 的均匀带电半圆环,带电为Q, u# i. E( q( Y! V) y( \3 X
半径为R ,环心处的电场强度大小为
- r1 X; v! U1 D: a  z( )
/ g$ W) f2 E" c3 Q8 Y; e(A )20 {$ }8 I5 R2 ?( S0 ~3 j
02π2R Q6 B" ]) t& B# o  B5 s+ s  Z
ε (B )20π8R Q
% M/ i3 n, d9 C* z$ Yε (C )0 (D )20π4R Q
5 g  F5 Z2 C: J" b9 Vε
% J" t* B1 ]$ v. J4.长l 的均匀带电细棒,带电为
. q5 Q( T( ]) F( dQ
& Y- C4 j# j. Y. a" u# p8 b& t' ],在棒的延长线上距棒中心r 处的电场强度的量值为1 \0 h! Z# x0 d- a5 ~' y2 h0 o
(A )20π3r Q
/ I0 \: r% D3 j) |5 |* r2 M+ w: qε (B )20π9r Q3 V# N4 r+ s: C& Z) T: F1 a
ε (C )
; g$ L- a' y; p! M8 \# c1 p)4(π2
/ x; B1 ?+ A8 W# H+ u$ d" \20l r Q
7 g) i/ e6 @7 r* R* W  Y6 F+ I-ε (D )∞ ( )9 c/ o5 H; E: T! Q+ {" Y4 c
                               5.孤立金属导体球带有电荷+ k, j' s7 ?6 ?4 Q7 I2 ?4 O- T
Q
' \7 c  `$ ?" m" T, g) h,由于它不受外电场作用,所以它具有( )所述的性质: k2 o" @: e. |1 b" W; m7 @
(A )孤立导体电荷均匀分布,导体内电场强度不为零 (B )电荷只分布于导体球表面,导体内电场强度不为零 (C )导体内电荷均匀分布,导体内电场强度为零 (D )电荷分布于导体表面,导体内电场强度为零 6.半径为R 的带电金属球,带电量为Q
' g* t$ \' ?% [,r 为球外任一点到球心的距离,球内与球外的
* e& ?9 W/ F/ j4 E9 c# w$ d; ?$ U电势分别为( )
8 H# P! B- N: s2 b9 V(A )r
9 [8 z% M9 }, z8 R0 OQ V V 0ex in π4 ,0ε=5 Y7 e2 L# b: `# }4 |3 j' W, t
= (B )r
* V5 X+ d0 m3 YQ
8 T& D; L2 y: F: E0 w1 MV R Q V 0ex 0in π4 ,π4εε==
( V! F+ v* ^* t) l- _# f
. Q3 n) z8 @  d7 C2 r* M(C )% e0 o' n$ @3 o, d, F) q
R
7 i; F. {0 T1 y$ Z& fQ
2 n0 w/ J# s0 k3 bV V 0ex in π4 ,0ε=
; X8 E2 ~  c, D0 c= (D )
: M7 y, H8 M4 ^! D1 HR
' b2 K. d  P! \* {" c; q9 }Q4 `' U- Z2 |) k. R" u/ _6 b
V R Q V 0ex 0in π4 ,π4εε==- l( [5 k( Z4 G* G2 I3 V
. K$ E. `/ C5 u0 W8 t% ~* n' z
7.两长直导线载有同样的电流且平行放置,单位长度间的相互作用力为F ,若将它们5 X, T& ?9 l/ @
的电流均加倍,相互距离减半,单位长度间的相互作用力变为F ',则大小之比/F F '为 ( )
, Y! ]- o. Z# }5 H3 b(A )1 (B )2 (C )4 (D )8
% P( `% w! G* ]& b! [" b$ O4 X, U8.对于安培环路定理的正确理解是 ( ) (A )若?=?l 0
  C) p% q9 Y8 U3 y+ @d l B ,则必定l 上B 处处为零 (B )若?=?l 0d l B ,则必定l 不包围电流
# f# T! J2 u8 S5 s  l(C )若?=?l 0d l B ,则必定l 包围的电流的代数和为零 (D )若?=?l 0d l B ,则必定l 上各点的B 仅与l 内的电流有关% B! e1 l5 q) ^" Y- V7 Y4 i
9. 平行板电容器的电容为C 0,两极板间电势差为U ,若保持U 不变而将两极板距离拉开一倍,则: ( ); F) _# l* x; A
(A )电容器电容减少一半; (B )电容器电容增加一倍; (C )电容器储能增加一倍; (D )电容器储能不变。' F; E  n6 U3 L4 F% i
10.对于毕奥—萨伐尔定律的理解: ( ) (A )它是磁场产生电流的基本规律; (B )它是电流产生磁场的基本规律;: X4 ]7 g$ O2 _& N: d
                               (C )它是描述运动电荷在磁场中受力的规律; (D )以上说法都对。
) G% }" b6 [# n8 f- ^. c11.通以稳恒电流的长直导线,在其周围空间: ( )
# y& }7 h9 R. K; b+ hA .只产生电场。
6 `  Q% n- g7 G( N: _B .只产生磁场。
9 t$ v3 V0 Z0 j3 l) b: A7 ~3 fC .既不产生电场,也不产生磁场。! E$ F; @8 F6 }6 J: Y& x
D .既产生电场,也产生磁场。* c' M' n+ P8 g1 d: T
12.有一无限长载流直导线在空间产生磁场,在此磁场中作一个以载流导线为轴线的同轴圆柱形闭合高斯面,则通过此闭合面的磁感应通量:( )2 g1 g( j" \, T. m% O
A. 等于零;
( C! d, {& Y/ a+ k8 T4 k- x0 m5 tB. 不一定等于零;
9 [" O7 W. q; N  {( HC. 为 I 0μ ;, ]0 A2 y3 a+ U* O. O) g- y
D. 为0
$ F' k: Q- B$ z/ z9 u, ?εI
; _1 F7 S4 t; L3 B2 Y.
! d7 Q- [3 C3 E13.有一由N 匝细导线绕成的平面正三角形线圈,边长为a ,通有电流I ,置于均匀磁场B 中,当线圈平面的法向与外磁场同向时,该线圈所受的磁力矩m M 值为 ( )7 k+ A4 M  C! j7 ^" K: G
(A )2/32IB Na (B )4/32IB Na (C )?60sin 32
2 I& |+ t3 j  a- ^' J; W$ f9 Z2 pIB Na (D )0  @6 P6 K) U+ x0 J% E2 R
14.位移电流有下述四种说法,请指出哪种说法是正确的 ( ) (A )位移电流是由变化电场产生的; (B )位移电流是由变化磁场产生的;9 o! D  k: R3 Q0 `) [4 `
(C )位移电流的热效应服从焦耳一愣次定律; (D )位移电流的磁效应不服从安培环路定律。
) J8 [& T0 B6 Q* r15.麦克斯韦方程组的全电流安培环路定理=??)# e1 s1 A, S, q2 l% g
(L l d B
2 C) }% h4 r6 }; L( )
1 H$ \, I9 R( d% ^" R5 I% T- B, ~6 g; sA .I 0μ; B.S d t E s ?????)(00με; C. 0; D.S d t E
1 ^3 l, d9 S1 O' ~1 G2 v! JI s
' |" a9 ^! ^  |: X& j8 M???+??)0 H4 m# ]: q4 s2 p$ S7 y
(000μεμ./ S; _3 ^$ L) }3 C/ |  P
16.热力学第二定律表明( )
+ l$ Z4 ^+ O( r8 ~(A)不可能从单一热源吸收热量使之全部变为有用功而不产生其他影响 (B) 热不能全部转变为功
4 @$ D$ e- t1 e2 F! l; R! D  ^* x(C) 热量不可能从温度低的物体传到温度高的物体
7 |" C: @; T; Y( e: v(D) 以上说法均不对。
4 s2 @  X: n" t2 y! F  A* }17.一绝热密闭的容器,用隔板分成相等的两部分,左边盛有一定量的理想气体,压强为p o ,右边为真空,今将隔板抽去,气体自由膨胀,当气体达到平衡时,气体的压强是( ) (A)p o (B)p o /2 (C)2p o (D)无法确定。
) `8 {  d# d5 Q* g* K, Q) w18.判断下列有关角动量的说法的正误: ( )" I1 T* d% h1 G7 r* D
(A )质点系的总动量为零,总的角动量一定为零; (B )一质点作直线运动,质点的角动量不一定为零;
" K! ^! X; K% Z  C(C )一质点作匀速率圆周运动,其动量方向在不断改变,所以质点对圆心的角动量方向也随之不断改变; (D )以上说法均不对。+ R0 G4 g7 Z  g# G
                               19.以下说法哪个正确: ( )3 m+ I" ~1 L% U! N  e( V
(A )高斯定理反映出静电场是有源场; (B )环路定理反映出静电场是有源场; (C )高斯定理反映出静电场是无旋场;
' Q9 k' E) Z) r0 y6 ~(D )高斯定理可表述为:静电场中场强沿任意闭合环路的线积分恒为零。
$ T/ G, Z- {  h0 _  Z7 Q20.平行板电容器的电容为C 0,两极板间电势差为U ,若保持U 不变而将两极板距离拉开一倍,则: ( )) c5 W3 C+ o- [9 v8 x
(A )电容器电容减少一半; (B )电容器电容增加一倍; (C )电容器储能增加一倍; (D )电容器储能不变。 21.对于毕奥—萨伐尔定律的理解: ( )/ J: W2 A( f  S% X4 l% {
(A ) 它是磁场产生电流的基本规律; (B ) 它是电流产生磁场的基本规律;
) p$ ?+ j- V# V9 k, l+ u2 n/ }(C ) 它是描述运动电荷在磁场中受力的规律; (D ) 以上说法都对。7 B$ K) {8 r/ I7 V: H
22.通以稳恒电流的长直导线,在其周围空间:( )- W/ T3 K+ r- ?5 t5 g+ C/ ?! g* E, E
(A )只产生电场; (B )既不产生电场,又不产生磁场; (C )只产生磁场; (D )既产生电场,又产生磁场。7 z! B$ x/ ?0 G- s7 C

- x& l: l! j, _1 \6.两瓶不同种类的气体,它们的温度和压强相同,但体积不同,则单位体积内的分子数相同.( )
6 q  A+ R( m! d, {$ j7.从气体动理论的观点说明:当气体的温度升高时,只要适当地增大容器的容积,就可使气体的压强保持不变.( )
0 Y/ \, |, M; j: U2 o8 P. a5 ^6 ]8.热力学第二定律的实质在于指出:一切与热现象有关的宏观过程都是可逆的。( ) 9.随时间变化的磁场会激发涡旋电场,随时间变化的电场会激发涡旋磁场。( ) 10.带电粒子在均匀磁场中,当初速度v ⊥B 时,它因不受力而作匀速直线运动。( ) 1.作用力的功与反作用力的功必定等值异号,所以它们作的总功为零。( ) 2.不受外力作用的系统,它的动量和机械能必然同时都守恒.( ) 3.在弹簧被拉伸长的过程中,弹力作正功。 ( ) 4.物体的温度越高,则热量越多.( )
/ T7 o$ q: T' |+ |0 n$ u% Z- q5.对一热力学系统,可以在对外做功的同时还放出热量.( ) 6.可以使一系统在一定压力下膨胀而保持其温度不变.( )) ?7 g+ P- f' T8 _
7.带电粒子在均匀磁场中,当初速度v ⊥B 时,它因不受力而作匀速直线运动。( ) 8.随时间变化的磁场会激发涡旋电场,随时间变化的电场会激发涡旋磁场。( ) 9.动生电动势是因磁场随时间变化引起的,感生电动势是因导线在磁场中运动引起的。( ) 10.电磁波是横波,它能在空间传播是由于随时间变化的电场与磁场互相激发所至。( ). r1 t6 A5 ^/ O9 U6 @- |& G* D
四.计算题
8 J1 U& \0 L4 c1. 已知质点运动方程为0 l' F' G  L' H
??
. K( e% A* ~2 r?-=-=) cos 1( sin t R y t R x ωω
9 f5 l2 d5 A' M; B) O3 Y: ?式中R 、ω为常量,试求质点作什么运动,并求其速度和加速度。 2. 一质点的运动方程为2
; v, T3 g: L+ x0 T% [) @3& u) D! K& I6 r8 H1 O% e
25.6t t x -=(SI ),试求:$ S7 h" V4 n7 S1 _
                               (1)第3秒内的位移及平均速度; (2)1秒末及2秒末的瞬时速度;. B$ [' c( G# D5 C$ W
(3)第2秒内的平均加速度及0.5秒末的瞬时加速度。. P. j/ N, s! [% x3 @0 |8 j( a' \
3.质点沿半径为R 做圆周运动,其按规律2" \4 ?( z! t5 s5 b& @
21
  n4 j; t1 |: `4 f! U8 K4 Ybt ct S -=运动,式中S 为路程,b 、c 为常数,求
2 l- b% L8 n' b3 d7 ?8 o* g- u0 M1 o(1)t 时刻质点的角速度和角加速度. W+ c7 O6 z8 [) |- Q7 C" O" O
(2)当切向加速度等于法向加速度时,质点运动经历的时间。! C# G" ]; d2 R. ]1 h6 h, F
(1)解 质点作圆周运动,有θR S =,所以 )
/ T/ J1 S3 K  e6 y' P21(12bt ct R R S -==θ 角速度( _0 w( e5 n/ z7 y" ?) q* M
t
( z/ K5 x" X, O3 V1 nR b R c t -==d d θω 角加速度5 i( N2 x+ j% _2 W0 o% S. }- C
R b t -3 I3 Z& H6 f  w: e6 ~: c( x0 Y
==d d ωα (2)在圆周运动中,有 b R a -==αt 2
; h* Q7 S/ i/ M1 j2n4 q1 k- L( \# _
)(1bt c R R a -==ω 当 t n a a = 即 2  e1 u% g! f, O7 H' r8 M
)(1* }& ~7 d; @6 d' L" k% ?/ T
bt c R b -= 得 0)(22" k+ r5 ?% w- M1 S' a, X& l8 J7 ~
2
4 v, @8 U  @3 u0 J; M2=-+-bR c bct t b) H$ `2 d+ c- c0 T$ g2 s3 ?9 Q
b R b- k: S7 i1 z+ ~  c
c
/ Y' _0 R$ X. b  Mt +=
4 y( ?) ^$ O. \  D 6 V# _, P+ n" m1 C) a
4.一质点的运动方程为j i r ])s m 1(2[)s m 2(28 f1 P% g# N! X% ~
21t m t --?-+?=。
) f" ~8 f1 Q3 I/ `- x7 w! U(1)画出质点的运动轨迹。 (2)求s 2 s 1==t t 和时的位矢 (3)求s 2 s 1和末的速度 (4)求出加速度& H# j+ X1 S# V& {% z

7 Q. l0 g* a) A2 b$ N* `: O5.在光滑水平面上放置一静止的木块,木块质量为m 2.一质量为m 1的子弹以速度v 1沿水平方向射入木块,然后与木块一起运动,如图所示。
2 @) i+ i& C6 F! E; C& d5 L(1) 求子弹与木块间的相互作用力分别对子弹和木块所做的功; (2)碰撞过程所损耗的机械能。
9 S+ W6 t% a9 ]m 1 V m 24 q+ _6 b& k; Z$ t' ~! p

; a; i/ V( x) o+ L                               
登录/注册后可看大图
3 }! r. G! Q$ L! y0 J
! I2 E5 h5 p9 R! K# g; e" [
1. 一电容器的电容C=200μF ,求当极板间电势差U=200V 时,电容器所储存的电能W。 2. 如图所示,在长直导线AB 内通有电流I 1=10A,在矩形线圈CDEF 中通有电流I 2=15A , AB 与线圈在同一平面内,且CD 、EF 与AB 平行 。已知a=2.0cm,b=5.0cm,d=1.0cm 。求:" B: X( a  B. Q
(1)导线AB 中的电流I 1的磁场对矩形线圈CD 、DE 边的安培力的大小和方向;3 O* W9 A  D0 w
(2)矩形线圈所受到的磁力矩。9 j2 f+ f& ]+ {4 X( t. E3 I& b" Y$ F
                              

0 y/ W7 `! F2 e, j) w, R7 @6 n  r                               
登录/注册后可看大图

" n- n+ N( t  ]3 ~& ~
$ U! S# T7 k$ t1 e2 ]2.两球质量m 1=2.0g,m 2=5.0g,在光滑的桌面上运动,速度分别为v 1=10i cm ?s -1, v 2=(3.0i +5.0j )cm ?s -1,碰撞后合为一体,求碰后的速度(含大小和方向)。
* g: P; ?; U9 s! @3.我国第一颗人造地球卫星绕地球沿椭圆轨道运动,地球的中心为椭圆的一个焦点。已知人造地球卫星近地点高度h 1=439km ,远地点高度h 2=2384km 。卫星经过近地点时速率为v 1=8.10km ·s -1,试求卫星在远地点的速率。取地球半径R=6378km ,空气阻力不计。 13.1如图所示,在直角三角形ABCD 的A 点处,有点电荷q 1 = 1.8×10-9C ,B 点处有点电荷q 2 = -
# R) P& B" J# E1 a3 u9 H( V6 O4.8×10-9C ,AC = 3cm ,BC = 4cm ,试求C 点的场强. [解答]根据点电荷的场强大小的公式
0 T2 R' ]6 r8 W; B% w
* o3 k) I" o! i* t/ q
                               
登录/注册后可看大图

$ I% X, c; P2 b; Z22
! Y! g3 B3 }0 g1 o8 g+ Y014q q7 v, n3 C/ t# {# c1 e) ?; K9 J3 g
E k
# e3 N; t1 O5 p  gr r ==* S( N8 ^, o* Z5 S0 V
πε, 其中1/(4πε0) = k = 9.0×109N·m 2·C -2.& \& \& y: c1 P3 `$ X4 O/ X
点电荷q 1在C 点产生的场强大小为
8 X3 K1 _9 r+ f8 ]- q! l11201# u9 q: l: C+ p* M% W! [
4q E AC =πε994-122
- a4 l8 f! h0 r0 ^, M: `: U$ \1.810910 1.810(N C )(310)# l$ K1 j8 m+ F% K. M) }
--?=??=???,方向向下. 点电荷q 2在C 点产生的场强大小为
+ Z: `2 T. C$ z2 y- {2220||1
8 i% }, l/ v5 a8 L4q E BC =πε994-1  ?" Z2 Q; Y) b8 I( v* @% a0 K
22! o# q4 C; A+ T6 H  M* c
4.810910 2.710(N C )(410)
: q5 o0 }$ K8 B4 U- c0 ^" y' M--?=??=???,方向向右. C 处的总场强大小为: b5 y" z3 s4 m4 J% @/ |2 F) f
E =
: J% d. f1 H# C44-110 3.24510(N C )==??," B7 l2 t- Q, Q% y
1 @* [* {% O4 p( N4 T  y
                               
登录/注册后可看大图
+ F7 \0 \3 \# F
/ D, p6 |) b: E" x; u, x) z8 o8 X; b
                               
登录/注册后可看大图
' x) _  Z4 o- W( e, P2 ~* F
总场强与分场强E 2的夹角为 1
% H5 P. A9 B7 k" F- z. M23 h: s2 {( k' P/ w$ I
a r c t a n 33.69% Q5 y7 k( @/ J
E
5 n- U, g# r( tE ==
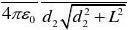
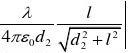
) V# C3 J. t5 f6 O; B?θ. 3均匀带电细棒,棒长a = 20cm ,电荷线密度为λ = 3×10-8C·m -1,求:
6 n$ a5 c# Q1 G* w/ N7 K: m# |* t(1)棒的延长线上与棒的近端d 1 = 8cm 处的场强;
3 V" I! k$ d2 y3 V2 p4 s# I3 p( U8 L; a. w
13.1
4 X$ p6 w9 V; r( k8 D

: e( g. m. x. k2 U9 g                               
登录/注册后可看大图

; ]9 G4 S0 s* `! |7 s' P& @' @                               (2)棒的垂直平分线上与棒的中点相距d 2 = 8cm 处的场强. [解答](1)建立坐标系,其中L = a /2 = 0.1(m),
$ B2 t9 d2 B. g  i- M; o, w6 M! }x = L+d 1 = 0.18(m).! M; ~& K- K1 D' K" D3 V: |
在细棒上取一线元d l ,所带的电量为d q = λd l ,根据点电荷的场强公式,电荷元在P 1点产生的场强的大小为
  `/ m) a& N9 u2 ~3 ~" Y122
. D# i7 C" ?1 C; n* I1 o" Q# Y, a0d d d 4()q l E k
2 ]! g6 C( J1 g8 k' U3 w7 v( _r x l ==-λπε 场强的方向沿x 轴正向.因此P 1点的总场强大小通过积分得2 K( S2 G/ m5 `- [4 |! N
120d 4()L L l E x l λπε-=-?014L
$ D  c! M4 V, L3 S/ r/ `L' j' |* Q4 k: M, Z5 f8 h: _7 K. h
x l' _& c# e* z9 q+ V8 ?- I
λπε-=
8 p7 b( c) ]: W5 i-011()4x L x L λπε=
( a' H& [7 n- G: s: g* I5 a--+224 q+ Z1 ^1 O; `, h  C" P
0124L x L λ
, A+ Q0 {+ H7 A, Lπε=4 U! n5 M4 R9 v) t$ W
-①. 将数值代入公式得P 1点的场强为3 _% b* z9 i' \1 q
896 S$ m* u2 ?7 K& F
122
/ v0 X( P/ I( W  \1 D! S9 E+ S# R20.13109100.180.1# P. p9 a3 I% `, e4 s' y7 w
E -???=??-= 2.41×103(N·C -1
: Z- h7 i: E9 s: @& R),方向沿着x 轴正向. (2)建立坐标系,y = d 2.
  p% S1 e' \+ C6 f& z% ]  q

$ q6 s; R( K- f5 k7 ~5 N6 I                               
登录/注册后可看大图
7 L, |1 _- E; [8 s" u
在细棒上取一线元d l ,所带的电量为d q = λd l , 在棒的垂直平分线上的P 2点产生的场强的大小为
% j. C" u* }* O- G  {222
2 _$ X, `; D6 }& ~0d d d 4q l+ i) @) \' Y* g! S+ u
E k! t& [/ K. ^! r* ~
r r λπε==
, ]. t- z3 j- J2 H5 J5 B, 由于棒是对称的,x 方向的合场强为零,y 分量为 d E y = d E 2sin θ.9 U3 ^/ C! I) V  G( r. N) I) |
由图可知:r = d 2/sin θ,l = d 2cot θ,所以 d l = -d 2d θ/sin 2
! C/ ]+ c  P& S/ u0 d4 {θ, 因此 02
6 z& g1 U- X* j' ]! L& dd sin d 4y E d λ% {. i* Y3 V. _4 B
θθπε-=,3 N. y; N% y* P/ _
总场强大小为
9 O0 d' `  \. _
8 D: G+ T% Q/ ^! \4 Y
                               
登录/注册后可看大图
- J5 d+ h7 n9 `% T, v! S
02sin d 4L y l L
7 W. g1 ~) `" K" K. ?E d λθθπε=--=1 U3 s5 W) p$ |# ]: I
?02cos 4L
) I" y/ [" w! F% T! Zl L) u& L) ^, u# S
d λ+ B7 r7 x7 _3 `% k( X: @
θπε=-
% _. ~0 r1 d9 {% K8 N=L
4 q( l$ ~; {' J  q& V4 }, N7 iL
. N% _0 _: p" B/ s" D% N1 g=-=; }" C9 M4 D9 U3 Z4 L0 h

% l6 [9 D3 {9 n. B- t: P0 M! r1 @% P9 c=1 E; F5 S3 J. t4 H

0 y' @1 ]& K( @4 V5 @, ]1 Z, m) P
" o# a" A' s/ o) n5 S/ X
                               
登录/注册后可看大图
9 d1 S) [8 {+ o8 p! p
将数值代入公式得P 2点的场强为4 m7 P& l% k  `+ v! E- X
8& u' w$ P& A: B7 |
9
' e7 K, x! ?. @: \  A/ N2 c221/2/ H" j" [" H; R2 \! k. E
20.13109100.08(0.080.1)
( ]7 T( C' o+ s: |y E -???=??+= 5.27×103(N·C -1).方向沿着y 轴正向.
6 m4 x  }/ q0 `& s1 K                               [讨论](1)由于L = a /2,x = L+d 1,代入①式,化简得: W2 |1 u( {5 @1 U* w6 [. Z8 R
101101117 I% p$ B4 W9 N. a9 _' p
44/14 T$ P  |' X5 H: T$ t4 b8 j7 }
a E d d a d d a λλπεπε=! r! e- @: @6 }0 H
=% x/ o1 s! d$ Y' @
++, 保持d 1不变,当a →∞时,可得101# H, I3 J# x1 q7 x
4E d λ
9 z7 |6 P8 d- \- T8 ^πε→
5 f+ y! g: k7 P2 v: T/ ^6 [, ③4 y( D. a6 `- d0 U$ ^6 Y$ v
这就是半无限长带电直线在相距为d 1的延长线上产生的场强大小. (2)由②式得
/ @( o& j8 {5 J; {% ~ ) l/ Q5 g1 c6 K: C4 a1 E
y E =+ T7 R: @# ~0 F: u1 t- `9 ~" Q; b
=* s( b+ D4 ^0 }) I0 r

' U3 F/ U6 ]  I( w. y& E( C, {6 P
- A6 q1 R5 b9 d; i7 V6 g
                               
登录/注册后可看大图
/ w7 ?# i7 n! `. D2 v0 L' h& C
' @( H! [8 k% U2 }3 c7 V
                               
登录/注册后可看大图
, E1 y; Z/ _! s& w* B) d
当a →∞时,得 02' v' P7 c% P, ^3 q' L
2y E d λ3 B$ K7 b8 l, d, \0 B
πε→2 H( ^# G  G8 P) l6 Y
, ④- j  z, D% R# V  [, H
这就是无限长带电直线在线外产生的场强公式.如果d 1=d 2,则有大小关系E y = 2E 1.
0 C# B+ Y. n! C: b1 j4 D13.一宽为b 的无限长均匀带电平面薄板,其电荷密度为σ,如图所示.试求: (1)平板所在平面内,距薄板边缘为a 处的场强.3 }& ?: k) y  n4 G! D' V, Z
& ]% y! x  R  H2 u4 H+ S
                               
登录/注册后可看大图
# W/ t( q/ N6 r; ?
(2)通过薄板几何中心的垂直线上与薄板距离为d 处的场强. [解答](1)建立坐标系.在平面薄板上取一宽度为d x 的带电直
, B, b6 e/ V; N3 l2 x1 Y线,电荷的线密度为 d λ = σd x , 根据直线带电线的场强公式 02E r: m# M( J$ w& R7 B' r
λ
6 h5 ~0 y0 k( |7 w: {πε=, 得带电直线在P 点产生的场强为
6 u  H; i) \4 @# a0 D+ ~' l

- f3 }  [+ q. }                               
登录/注册后可看大图
+ |! I. c; _: j
00d d d 22(/2)
7 f  E$ y+ S, k- M' x' f7 H! B* Gx
/ Q3 `, Y( X4 I, @0 ]% jE r; \9 F5 X0 n* K
b a x λσπεπε=# {0 U/ \! C) E) Y9 K) L
=
# V  u2 y; u2 k9 B9 _; `+-,其方向沿x 轴正向.
/ K! o# N1 q& P+ h! j7 y由于每条无限长直线在P 点的产生的场强方向相同,所以总场强为
$ t9 y3 {7 @/ _' ~8 P1 N/20/2* d1 X7 J' E6 P" ?
1d 2/2b b E x b a x σπε-=- W) C* b2 ~6 |: h, \$ E, `: A) B
+-?/27 w& D% ]. k: H
0/2
# H! ~! W, p2 c4 q4 `ln(/2)2b b b a x σ. t! r, T  W. P4 k1 o
πε--=+-0ln(1)2b
3 O" H+ C8 {; ]a# \; z" D, w) K! x8 G
σπε=
9 Q2 _) k2 d6 z6 }+. ① 场强方向沿x 轴正向.+ }0 j; ^/ k  p- U
(2)为了便于观察,将薄板旋转建立坐标系.仍然在平
# g7 c! u# I) [2 {面薄板上取一宽度为d x 的带电直线,电荷的线密度仍然为( g5 `/ o' c8 x7 D5 A+ ?

: u( ~/ x3 ~$ V6 J6 n# [6 U2 A1 S                               
登录/注册后可看大图
# |, @: v/ r$ ~( u' s$ d
d λ = σd x ,
  M1 b$ D( A$ n( s. f5 U带电直线在Q 点产生的场强为
! B: e3 `& t& N( c7 F+ L3 y                               2
3 D( u' i% v$ M21/2
" F6 i4 l' g, O% f9 T00d d d 22()
  N3 z2 J: @  [: hx
2 W, R) r0 e9 B, c  s/ SE r
" n, a. h+ ^2 }% Z9 x! `b x λσπεπε=
8 e  U  P' }* K0 ^=
* }) ?/ Z1 t, c8 f+,
# |. D$ `8 U7 i沿z 轴方向的分量为 221/2. [$ P' j0 _. _) v8 I
0cos d d d cos 2()z x
6 n0 B, N- y9 C2 _4 ~, C8 AE E b x σθθπε==
+ A( R0 K, n: k! z$ j; J. s+,
& M- }. |" V- w) j, q! Z设x = d tan θ,则d x = d d θ/cos 2θ,因此0
& y. a: A5 ~7 S4 s& _" U) Yd d cos d 2z E E σ9 L0 L# k  k% H7 L
θθπε==
7 n. R% Z  E0 C) E积分得arctan(/2)
& w" F4 x- S: K1 V# R$ z0arctan(/2)2 j5 t: ]. [0 n2 o( [; I0 g
d 2b d z b d E σθπε-=* k$ Q  u. X/ l) g
?0arctan()2b
" Z6 y4 A+ s- I' fd σπε=. ② 场强方向沿z 轴正向. [讨论](1)薄板单位长度上电荷为λ = σb , ①式的场强可化为 0ln(1/)
! f. H2 K( O0 M& d* ?; @( ]2/b a E a b a7 y* k, o9 b. P8 T  m
λπε+=
- x( C) A0 C/ c+ l+ B; o, c  u3 u, S1 c
当b →0时,薄板就变成一根直线,应用罗必塔法则或泰勒展开式,场强公式变为
- n) ~6 b+ v" y4 T5 y/ T$ \02E a/ L( Q1 K/ P' R' O8 U
λ
  F$ }" C7 M9 {6 ]" v" l! _' w8 X4 Kπε→. o" E) J- `- w! ]+ \
, ③ 这正是带电直线的场强公式.( j- }/ }, K/ Q" d
(2)②也可以化为 0arctan(/2)( p/ b3 \# h( W, P! h+ t; e
2/2z b d E d b d
. d* E* K4 C9 d) g0 qλπε=
# n- U1 I" A3 g- H& y; _( D5 @$ q
; g% O* ]0 M( p7 `当b →0时,薄板就变成一根直线,应用罗必塔法则或泰勒展开式,场强公式变为
' F8 ^6 \1 r) \7 G% a. i$ L6 }& D02z E d5 \2 ^5 b+ R; m1 X# k# u4 `
λ/ `, A  i3 u" }% c, D; f& A
πε→
+ d8 Z7 w' K, |1 `) D/ v, 这也是带电直线的场强公式.
) R* B2 t, Z/ s/ s1 h8 o1 V% v当b →∞时,可得0
! h. X- k% ^) C2z E σ
1 C) S) r1 @; E" W2 r; Zε→0 y2 x$ E% o) a9 Y6 U( q5 B+ b
5 w- x0 s" K4 W6 m/ n) K- N+ |. @
                               
登录/注册后可看大图
% u! m# K" C# U" l
, ④ 这是无限大带电平面所产生的场强公式. 13. 两无限长同轴圆柱面,半径分别为R 1和R 2(R 1 > R 2),带有等量异号电荷,单位长度的电量为λ和-λ,求(1)r < R 1;(2) R 1 < r < R 2;(3)r > R 2处各点的场强.9 G. ]3 G& E. s
[解答]由于电荷分布具有轴对称性,所以电场分布也具有轴对称性.
6 z$ c" n9 O+ }2 K: Z( Y
( {& j: a+ N0 I3 y                               (1)在内圆柱面内做一同轴圆柱形高斯面,由于高斯内没有电荷,所以
  P6 u3 d# G( l/ z/ a% A5 j3 }& eE = 0,(r < R 1).- u+ V" E8 M# S+ M/ e- A
(2)在两个圆柱之间做一长度为l ,半径为r 的同轴圆柱形高斯面,高斯面内包含的电荷为 q = λl ,
* N! H" Q8 n5 V7 Y7 |, e( `穿过高斯面的电通量为 d d 2
0 H( e: j! \2 he S' ]7 `+ S' E9 `$ H2 [  ]
S, Z& \$ n6 y5 ?! B6 s4 i. ?2 j
E S E rl Φπ=?==??E S ?, 根据高斯定理Φe = q /ε0,所以02E r
* b+ n3 [) r/ j6 ]/ \λ
# F- g& G1 b9 A* Q6 @πε=1 I' h! W4 M5 U& Q
, (R 1 < r < R 2). (3)在外圆柱面之外做一同轴圆柱形高斯面,由于高斯内电荷的代数和为零,所以
' }9 J$ E0 `# h8 q! y. t! cE = 0,(r > R 2).. X, `0 h: t% p) O  g
13.9一厚度为d 的均匀带电无限大平板,电荷体密度为ρ,求板内外各点的场强.
7 E+ X, c1 U4 c+ l8 ]* k
# L, l* B  T+ o$ M0 Q
                               
登录/注册后可看大图
) `, \! y* z& p3 F
[解答]方法一:高斯定理法.$ p; V2 G& y5 M0 P: ^! }/ K
(1)由于平板具有面对称性,因此产生的场强的方向与平板垂直且对称于中心面:E = E ‘.
& z) A3 I6 a7 y( B在板内取一底面积为S ,高为2r 的圆柱面作为高斯面,场% b0 d  B0 ]3 F; g, w# O% L: r2 ?) m
强与上下两表面的法线方向平等而与侧面垂直,通过高斯面的电通量为
9 h0 Z) N( H1 B5 B6 [2 c# P- a! Nd e S
6 N. S% V0 Y8 x4 NΦ=??E S 2
1 c; t8 [% P; \/ Z8 n
+ `& L# t/ x8 T& v2 l7 xd d d S S S =?+?+????E S E S E S 13 b4 a2 v6 u+ S' @- c
`02ES E S ES =++=,
6 [, h0 e! ~. y7 \* c) _) u" `% x6 t  K高斯面内的体积为 V = 2rS ,+ k/ }% c) ]( x" J, ~" P9 v: h: ^
包含的电量为 q =ρV = 2ρrS , 根据高斯定理 Φe = q/ε0,
. ^4 i3 k5 Y& G( b! D# u9 v可得场强为 E = ρr/ε0,(0≦r ≦d /2).①5 r1 y" \# g3 }8 s0 J5 B
(2)穿过平板作一底面积为S ,高为2r 的圆柱形高斯面,通过高斯面的电通量仍为 Φe = 2ES ,/ F; U2 f, w+ B" w! ?3 d& e% P
高斯面在板内的体积为V = Sd ,
; {5 w; q$ \5 W0 O. c  O% S, o& H包含的电量为 q =ρV = ρSd , 根据高斯定理 Φe = q/ε0,
$ P; }" ~5 x4 {可得场强为 E = ρd /2ε0,(r ≧d /2). ② 方法二:场强叠加法.; N7 H  I% G6 m* h8 N

7 f; }, h$ g0 R9 n/ F7 ]! K                               
登录/注册后可看大图
( `+ u) `( r6 Y5 r  _) d0 h
(1)由于平板的可视很多薄板叠而成的,以r 为界,下面平板产生的场强方向向上,上面平板产生的场强方向向下.在下面板中取一薄层d y ,面电荷密度为d σ = ρd y , 产生的场强为 d E 1 = d σ/2ε0,, L5 y6 k6 }  E% j9 q6 I; Z  n; t
                               积分得100/25 p: t5 A8 `* {# W$ `- R/ j
d ()222r( b# U5 o8 X: ?# A
d y d
+ a; F% G2 a. b, K# {E r ρρεε-=' ~7 H: C3 k5 k, m  @3 d& B7 t
=+?,③ 同理,上面板产生的场强为
2 m2 M0 C/ J7 X/2
: q. z' _- K! a/ J) f200d ()222
# j" \3 P4 k/ w1 T. Fd r, `" O8 U( \' {, C6 x
y d' C- G1 Y1 \, q/ \% Q; Q0 O
E r ρρεε=+ f0 ]: t1 r# L4 ^6 q
=-?, L. k4 z: s; h+ ]7 x  ]" i# `& S
,④ r 处的总场强为E = E 1-E 2 = ρr/ε0.
4 y  u5 G1 {; |+ h/ ^) B2 F7 d1 \( C7 y(2)在公式③和④中,令r = d /2,得
1 Y2 G& Q1 K5 @E 2 = 0、E = E 1 = ρd /2ε0,E 就是平板表面的场强.
  L3 w# I8 I% j平板外的场强是无数个无限薄的带电平板产生的电场叠加的结果,是均强电场,方向与平板垂直,大小等于平板表面的场强,也能得出②式.
& n+ J+ y/ S! K" h& z4 d13. 两块“无限大”平行带电板如图所示,A 板带正电,B 板带负电并接地(地的电势为零),设A 和B 两板相隔 5.0cm ,板上各带电荷σ=3.3×10-6C·m -2,求:9 {) ^! i* d/ _3 `) N3 g% l
(1)在两板之间离A 板1.0cm 处P 点的电势;7 W+ A0 |2 {/ x" R: L$ [* g  `
(2)A 板的电势.
7 \# u; U9 Q/ C  K[解答]两板之间的电场强度为 E=σ/ε0,方向从A 指向B .. ?; w# o' {5 C7 i- h4 T+ s2 x* n
以B 板为原点建立坐标系,则r B = 0,r P = -0.04m ,r A = -0.05m .9 M: {8 g; S2 `! `
(1)P 点和B 板间的电势差为
% n" J% p0 @# g- s, `' a. y- O - Y: l/ \$ Y& Z* r- g9 d1 n% r# P
d d B4 z9 @' W/ X! l# m3 b) c
B
9 [% u6 L6 ?, JP1 U' s7 f, Z9 u1 ?1 e
P! U4 E1 \3 D& u7 ?9 H. f8 C+ m
r r P B r r U U E r -=?=??E l 0
; m# A( G- p* |. F) ]9 z()B P r r σ, F! f8 r" W8 _% m+ c0 e5 i/ x
ε=7 Y  j; J& B5 P5 @" j9 T
-, 由于U B = 0,所以P 点的电势为612& w! h+ l, ~3 r; S1 \
3.3100.048.8410& a5 m# B4 u8 f! d# F4 A1 |7 I
P U --?=??=1.493×104) E& g4 v! G- v' M: d
(V). (2)同理可得A 板的电势为 0( _' N& P0 a' u
()A B A U r r σ
' X! `8 l$ r6 d# c6 p. pε=
! _1 F# _# Z2 T, @7 K-=1.866×104(V). 13. 如图所示,一个均匀带电,内、外半径分别为R 1和R 2的均匀带电球壳,所带电荷体密度为ρ,试计算:
) @# |6 f+ F$ R3 u0 n) a(1)A ,B 两点的电势;: U. b1 @- d+ S0 N6 ~' v
(2)利用电势梯度求A ,B 两点的场强." c3 u8 ~; Z, ^3 w" D+ y7 s
[解答](1)A 点在球壳的空腔内,空腔内的电势处处相等,因此A 点的电势就等于球心O 点的电势." @/ R. M7 Y/ A& n. g* J3 y' j6 c
在半径为r 的球壳处取一厚度为d r 的薄壳,其体积为 d V = 4πr 2d r ,) h! f4 J# A# O! S0 s' y0 i8 g
包含的电量为 d q = ρd V = 4πρr 2d r ,, `8 p/ }: J$ R1 e4 q
7 M& c1 k# H  S, u
                               
登录/注册后可看大图

- `3 `* F. S2 j* R图13.10
+ A8 O# m0 G6 y" N9 W
9 C. }/ u; H* o5 F8 }% A
                               
登录/注册后可看大图
- V1 P: F6 I! P$ g

3 A$ a( C! o! l4 Z) t                               
登录/注册后可看大图
* [8 \  E' b0 t, l( C- J
8 Y* |: h( ^7 ?' Z) u
                               
登录/注册后可看大图
. \  b/ x7 P  Y2 p' C
图13.18
6 A8 {3 L% r6 T) y% B: s
8 ~3 m2 N5 j- e: _9 O7 j
                               
登录/注册后可看大图
" X8 `8 l/ b3 N" _
                               在球心处产生的电势为 00
" g- H( p1 Q0 u  jd d d 4O q U r r r( \; q8 f) Y$ A/ d) }  u
ρ
2 ~; l& c  d) A5 L5 G# Dπεε=8 R4 \4 e( K! }8 h. j, H
=) j' i. ^8 X3 F$ ^* \9 H4 c& X. C
, 球心处的总电势为 2
; x$ s' j: |0 r* S% ?1
' [& @! y& _- f# Q2
( }* D$ A! m" w0 t  h, V3 }2210# M# R& [% \& w+ H8 D
# Y; h' y& s' ^9 H8 R8 S
d ()2R O R U r r R R ρ6 J: X' c, Y: B$ D- H7 j
ρεε=9 n: |! q" l; Y% }) V8 q+ F! q
=
$ X: l1 F' ]; z, {; _+ @" Q7 B! v-?, 这就是A 点的电势U A .
  p' w2 d* C% U- [" D过B 点作一球面,B 的点电势是球面外的电荷和球面内的电荷共: C$ B( }3 |- C2 v/ n# K* G6 t9 z
同产生的.
1 M0 S4 o2 X: F" m球面外的电荷在B 点产生的电势就等于这些电荷在球心处产生的电势,根据上面的推导可得5 S0 x# X3 n* m! n0 ?
2
% j1 K% P8 G7 T- O8 g( k2120& ]' A5 R& p* d% P) J4 D2 N1 e
()2B U R r ρε=( c! e+ ]- z4 n  y
-. 球面内的电荷在B 点产生的电势等于这些电荷集中在球心处在B 点产生的电势.球壳在球面内的体积为
6 V' P3 z6 Z% w+ t3314()3
! G5 _7 D4 W4 Y5 lB V r R π=% e) I/ P5 k2 E) c& k3 }# `
-, 包含的电量为 Q = ρV , 这些电荷集中在球心时在B 点产生的电势为 3+ j: M8 o' f2 ]4 i" |; ]6 b6 L9 g" I
32100()43B B
- _  ^, U  t  I8 wB
% o" j  `4 y! A0 B  B6 oQ U r R r r ρπεε=
6 L) E; H( y/ C  b2 q: p=
; Z/ u4 i1 I6 @6 K4 b# q-. B 点的电势为 U B = U 1 + U 2322
; }( U" M# d: s) C+ q120(32)6B B
6 T* Q, n. S( g) TR R r r ρε=--.( P5 _: Y6 h1 L8 f* W& w4 Z# [
(2)A 点的场强为 0A
/ V% ]5 {( t, E4 g2 g% x: F) qA A
; l, E, Y; o, E) ^7 T. i8 ~' mU E r ?=-$ a" E1 E' S* ^( ]( e
=?. B 点的场强为 3120()3B B B B B
5 t, ^+ s* D/ E/ }7 @* TU R E r r r ρ5 h. D3 }5 h* ~
ε?=-=-?.
, Q( I# y4 ~1 x5 `) S, F& Y[讨论] 过空腔中A 点作一半径为r 的同心球形高斯面,由于面内没有电荷,根据高斯定
/ l4 s6 g$ T5 x$ Z, s$ P- h理,可得空腔中A 点场强为 E = 0, (r ≦R 1).
/ g! e/ x- l) y2 w# U- [) l过球壳中B 点作一半径为r 的同心球形高斯面,面内球壳的体积为 3314, i' B- w: Y2 J# G
()3
1 i4 W5 z5 A3 h% S' R0 MV r R π=-, 包含的电量为 q = ρV ,根据高斯定理得方程 4πr 2E = q/ε0,4 Q/ N4 [0 I/ l% u
可得B 点的场强为3120()3R E r r
$ N. G/ L6 \1 T5 x" p* p% e$ G( Aρ
/ c* _0 s4 n; Bε=-, (R 1≦r ≦R 2).
: l& y+ I" P2 U  h4 K+ ]$ ^5 Y这两个结果与上面计算的结果相同.
+ d; B6 H1 B) x7 d: s在球壳外面作一半径为r 的同心球形高斯面,面内球壳的体积为3" v% {. u. v! m4 x$ T6 T8 ~% S) ^
3214()3
$ ], @+ W2 a( e) P: ?V R R π=-, 包含的电量为 q = ρV ,根据高斯定理得可得球壳外的场强为
! |; d3 `  y1 X6 z4 w0 ~
, e+ X6 ]" Y: K3 I' C) l5 v+ }
                               
登录/注册后可看大图

* ?7 ^4 @$ \) `) K/ G                               3321221 ~* ~% ?3 F" B: O, `0 u0 x
00()& o& f6 `( p: o/ ^
43R R q
* F1 c2 q: w0 s9 ?$ m# ?0 m- U% cE r r
/ S* @& v0 A4 y. I3 A; Fρπεε-==,(R 2≦r). A 点的电势为 d d A
! V" H+ ?9 w- {- mA6 N  x( L7 e+ c) E; N1 d1 U" t7 W
A r r
3 J3 ~: i' p/ Y* nU E r ∞2 ~; e+ s! p9 P/ W9 N- @  s

: {  W: C3 [. n: C8 y- k- {: N=?=??E l 12
/ X/ e) d1 F) J4 F) m1 S3 ]1
2 K% e+ Y8 I; D3 O$ _) k$ C31200d ()d 3A R R r R R r r r r ρ
; ?9 X/ Y0 u6 ^" J; z* Jε=+-??23
/ |" e  m, f& y& _! v  M32120()d 3R R R r r ρε∞
7 c  M/ W# J* j; ~-+? 2; Z1 U3 A6 I. |4 ^$ |- v
2210
; ~1 v5 v& l+ ~7 c  I()2R R ρε=) \9 Q6 R8 J4 c
-. B 点的电势为 d d B
4 F; @/ E# c: `4 a3 LB0 R6 C8 @  }/ `# M6 G
B r r
4 d, A$ F- _) G" d# jU E r ∞
9 C' ]  y! O1 w/ r7 u8 g& T; V
0 A2 D) \" e8 }5 E2 S8 U=?=??E l 2: V4 q3 B7 a7 T+ X1 z6 }
3120()d 3B
- _3 X2 D" w2 ?" M1 v! R3 ]R r R r r r ρ) q4 q! c- J- N7 j
ε=-?2332120()d 3R R R r r ρε∞1 k$ v9 t8 k2 R2 l* b3 s
-+? 322
7 S: X: y* z) V' U+ v7 [2 T6 M8 T120(32)6B B
2 n& \2 K4 f: e" M+ x* @R R r r ρε=--.$ }' ~, E5 m; F( H; s4 R
A 和
( V1 w. X2 E2 d+ r8 u, MB 点的电势与前面计算的结果相同.4 F8 I) N7 H0 p( a
14. 设圆柱形电容器的内、外圆筒半径分别为a 、b .试证明电容器能量的一半储存在半( D! M# Z  z6 Y, ]
径R =
. O2 @8 J+ t+ ^$ U. C3 u3 \6 j! F, s

% y7 _0 [1 y# ]9 e& D' t  i                               
登录/注册后可看大图

5 b3 E/ k- `' c4 X" `[解答]设圆柱形电容器电荷线密度为λ,场强为E = λ/2πε0r ,能量密度为 w = ε0E 2/2, 体积元为 d V = 2πrl d r ,能量元为 d W = w d V .
; @4 P8 H4 g; d9 _, S7 o- s; @在半径a 到R 的圆柱体储存的能量为( C' w5 z/ p# m0 l+ l4 A& O. L
24 K# f% s' R9 k; V
3 [# v" p1 ]# j
d d 2V& Q1 e8 g6 {! `" N& X$ F/ e
V# x" B" Q9 i6 O4 L! w- b" P+ V
W w V E V ε==??( Y! J0 T* k, P  t+ y
2200d ln 44R) J1 O( L' A6 G& ^
a
% D! b$ g; S" ]l l R
9 x) J7 ~: R7 i- vr r a λλπεπε==?. 当R = b 时,能量为210ln 4l b
$ |& T, n% Q) F) A; B4 ]W a: n1 e' c. U2 l
λπε=;
& i  F" S% E) A: K当R =
7 F+ @: s* v; f! q- y! J22200ln 48l l b
2 B4 O( I5 p& V+ g* r# MW a, Q! ~$ A" Q2 K+ _( z" N& S6 l
λλπεπε==,
* Z5 v2 v" }4 y4 {' o

7 F! G0 k' x: `" y                               
登录/注册后可看大图
) K. x7 W# P$ e" M5 M5 I3 M* A
2 w! V/ B+ p+ D6 T5 p) a# @
                               
登录/注册后可看大图

( ^6 W9 J! @) m' ?) i; V所以W 2 = W 1/2
$ e, ~( b3 q. ?( H& J,即电容器能量的一半储存在半径R
) N% S5 d7 ~" E$ ?/ u
6 P/ K* r* H* x4 J. I
                               
登录/注册后可看大图

" E/ {& |! E# v( k6 {( R14. 两个电容器,分别标明为200PF/500V 和300PF/900V .把它们串联起来,等效电容多" Z) v' r  A6 J9 Z
大?如果两端加上1000V 电压,是否会被击穿? [解答]当两个电容串联时,由公式( z7 L7 |* M7 Z5 o0 @/ x
211212111C C C C C C C +=+=  T0 w+ r8 I( w! \' Z8 j2 u9 Q# p
, 得 1212) _6 W# X7 y5 W- J' _- L; o2 I/ m) x. X
120PF C C
! H; i# _% b, k3 n% f) @C C C ==+.7 n) T5 G( y2 V2 G
                               加上U = 1000V 的电压后,带电量为Q = CU ,
. ]' k4 n" W/ e' K第一个电容器两端的电压为U 1 = Q/C 1 = CU/C 1 = 600(V); 第二个电容器两端的电压为U 2 = Q/C 2 = CU/C 2 = 400(V).+ W8 a5 i5 ~* |
由此可知:第一个电容器上的电压超过它的耐压值,因此会被击穿;当第一个电容器被击穿后,两极连在一起,全部电压就加在第二个电容器上,因此第二个电容器也接着被击穿. 17.长为b ,宽为a 的矩形线圈ABCD 与无限长直截流导线共面,且线圈的长边平行于长
3 l/ e0 u% m7 c- h) h* F直导线,线圈以速度v 向右平动,t 时刻基AD 边距离长直导线为% @6 y3 D9 ]' G1 \+ q
x ;且长直导线中的电流按I = I 0cos ωt 规律随时间变化,如图所3 Y; |4 w: g: S: B) i
9 q  q1 V4 l9 o* ~
                               
登录/注册后可看大图
( [1 L, H! o6 k  H' S
示.求回路中的电动势ε. [解答]电流I 在r 处产生的磁感应强度为02I B r& G$ o8 g9 C# k; \% T5 ^
μπ=
  |* {% V2 S/ Z$ W' l4 ]' P* ]
* }  y: y" u$ D- u7 S. K穿过面积元d S = b d r 的磁通量为0d d d 2Ib
# W7 l2 \; K* v6 `# e# PB S r r
0 L- `8 H7 m1 G$ _μΦπ==,% B4 p# z4 ~+ u3 f; X
穿过矩形线圈ABCD 的磁通量为7 z% x% D! V. A
001d ln()22x a x Ib Ib x a r r x
& M9 i( \. l- R- p5 o+ nμμΦππ++==?, 回路中的电动势为 d d t Φε=-
4 j  L$ R2 u1 F& W% z. x0d 11d [ln()()]2d d b x a I x) t8 _9 b8 V4 R6 I- x% p
I x t x a x t
& S3 [1 d; ^" w1 ^  [μπ+=-+-+ 00cos [ln()sin ]2()
* ~4 ^$ ~1 A* RI b x a av t t x x x a μωωωπ+=& Q( j/ k( \$ r. Y
++. 显然,第一项是由于磁场变化产生的感生电动势,第二项是由于线圈运动产生的动生电动势.
! m: \. H" s* B) {5.将一边长L =0.20m 的正方形导电回路置于圆形区域的均匀磁场中。磁场方向垂直纸面6 {" M) m* b- }
向里,磁感应强度以0.1T ·s -1的变化率减小,如图所示。试求:(1) 整个回路内的感生电动势;(2)回路电阻为2Ω时回路中的感应电流。. @3 H  E) `7 b; L% Z; [' @0 X# e

- f  S1 w% z* {/ U7 q# U* U                               
登录/注册后可看大图
: i% v; t; N! z' ~9 r- u+ f
# `, n$ b, t: y$ J& I4 y+ b
图17.10
回复

举报 使用道具

相关帖子

全部回帖
暂无回帖,快来参与回复吧
懒得打字?点击右侧快捷回复 【吾爱海洋论坛发文有奖】
您需要登录后才可以回帖 登录 | 立即注册
9x21wj3699
活跃在2021-7-24
快速回复 返回顶部 返回列表